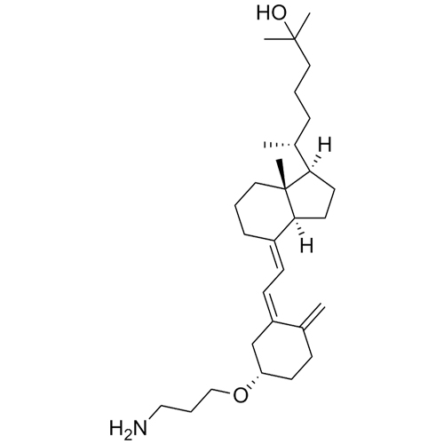
- Synonyms(R,Z)-3-(2-((1R,3aS,7aR,E)-1-((R)-6-hydroxy-6-methylheptan-2-yl)-7a-methyloctahydro-4H-inden-4-ylidene)ethylidene)-4-methylenecyclohexan-1-ol
- Description
(R,Z)-3-(2-((1R,3aS,7aR,E)-1-((R)-6-hydroxy-6-methylheptan-2-yl)-7a-methyloctahydro-4H-inden-4-ylidene)ethylidene)-4-methylenecyclohexan-1-ol
3-epi-25-Hydroxy Vitamin D3 is a fully characterized chemical compound used as a reference standard of API Vitamin D3. The standard offered is compliant with regulatory guidelines. 3-epi-25-Hydroxy Vitamin D3 is used for analytical method development, method validation (AMV), and Quality Controlled (QC) applications during synthesis and formulation stages of drug development and serves as a reference standard for traceability against pharmacopeial standards (USP or EP). Axios Research products are intended for analytical purposes only and are not for human use. CAS - 73809-05-9