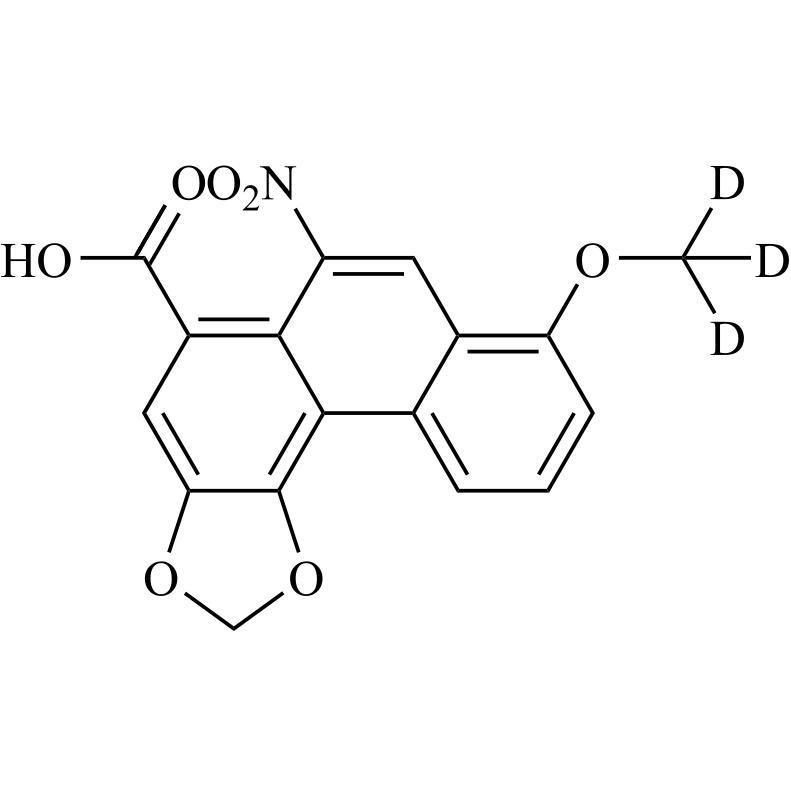
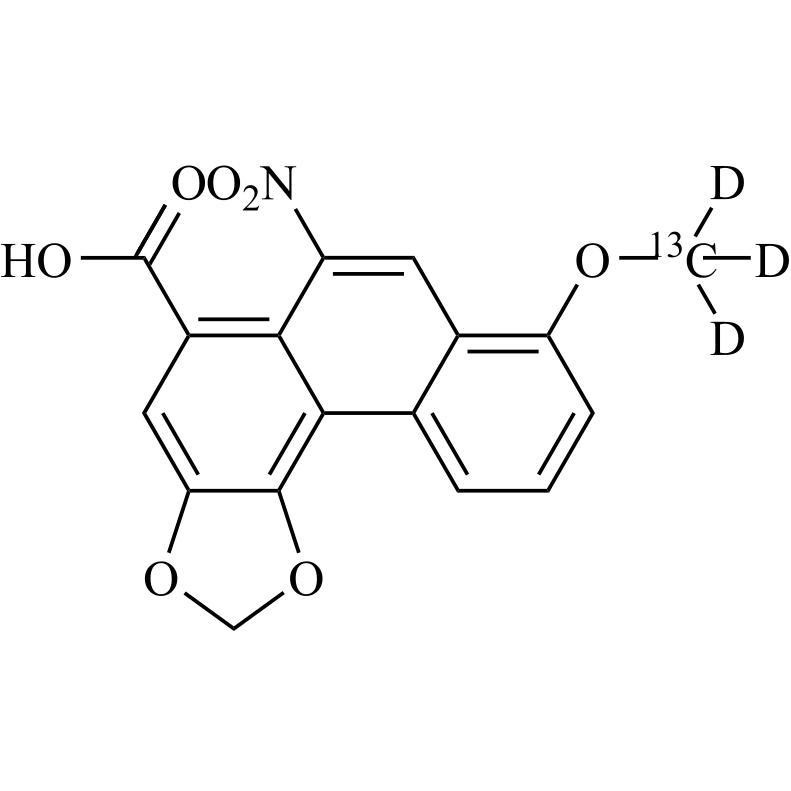
8-hydroxy-6-nitrophenanthro[3,4-d][1,3]dioxole-5-carboxylic acid
Aristolochic Acid A Impurity 1 is a fully characterized chemical compound used as a reference standard of API Aristolochic acid a. The standard offered is compliant with regulatory guidelines. Aristolochic Acid A Impurity 1 is used for analytical method development, method validation (AMV), and Quality Controlled (QC) applications during synthesis and formulation stages of drug development and serves as a reference standard for traceability against pharmacopeial standards (USP or EP). Axios Research products are intended for analytical purposes only and are not for human use. CAS - 38965-71-8