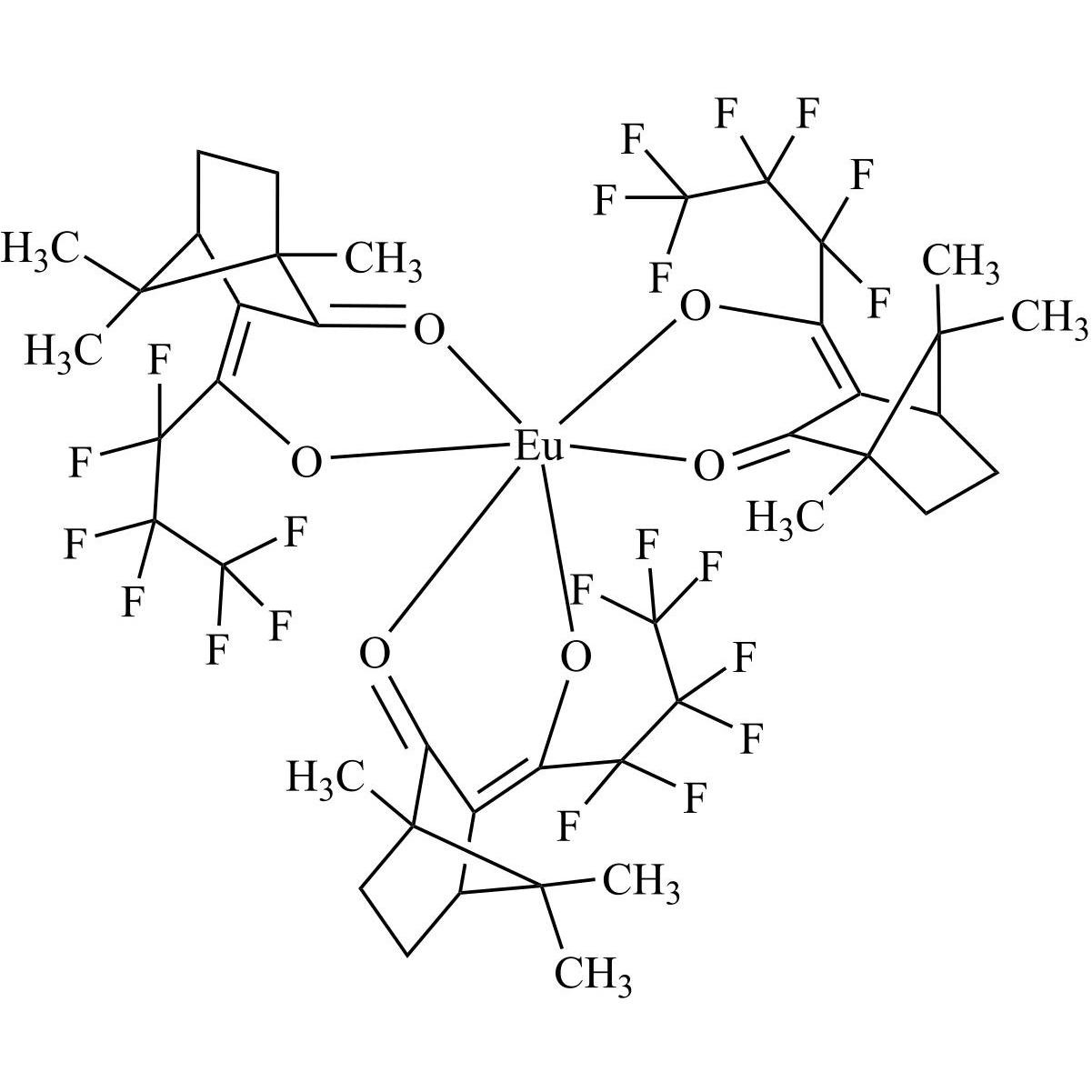
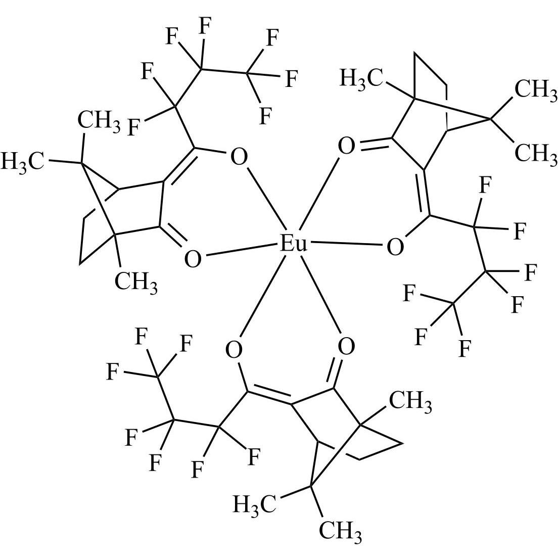
Europium tris[3-(Heptafluoropropylhydroxymethylene)-(-)-Camphorate
M.F.
M.W. 1193.72
CAT# AR-E10863
CAS# NA
Axios Research stands at the forefront of pharmaceutical reference standards ingenuity, providing high quality Europium Reference Standards. These include both pharmacopeial and non-pharmacopeial Europium impurities, metabolites, stable isotope products, and nitrosamines. Our Europium impurity reference standards are essential for pharmaceutical research, aiding in product development, ANDA and DMF submissions, quality control (QC), method validation, and stability studies. They are also used in identifying unknown impurities and evaluating genotoxic potential. Our Europium related products are meticulously characterized and come with a comprehensive Certificates of Analysis (COA) and analytical data that comply with regulatory standards.
M.F.
M.W. 1193.72
CAT# AR-E10863
CAS# NA
M.F.
M.W. 1193.72
CAT# AR-E10862
CAS# 34788-82-4
M.F.
M.W. 1073.17 2*18.01
CAT# AR-E10864
CAS# 201742-11-2
Can't find what you are looking for?
Inquire Now