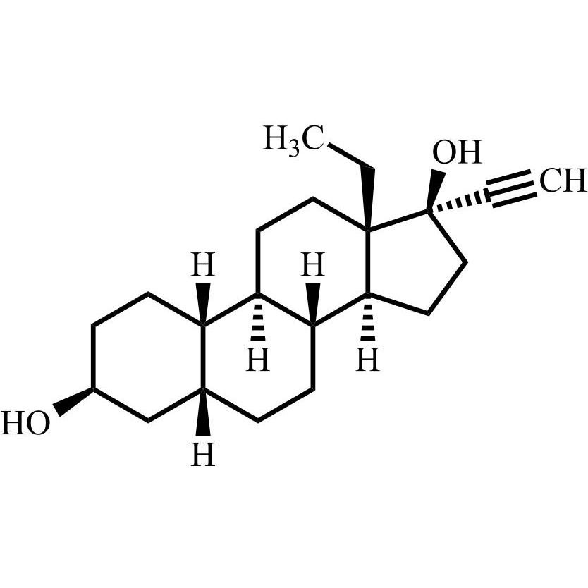
Levonorgestrel Impurity 14 is a fully characterized chemical compound used as a reference standard of API Levonorgestrel. The standard offered is compliant with regulatory guidelines. Levonorgestrel Impurity 14 is used for analytical method development, method validation (AMV), and Quality Controlled (QC) applications during synthesis and formulation stages of drug development and serves as a reference standard for traceability against pharmacopeial standards (USP or EP). Axios Research products are intended for analytical purposes only and are not for human use. CAS - 38165-80-9
Related products
Levonorgestrel Glucuronide (D-(-)-Norgestrel Glucuronide, Etonogestrel EP Impurity G Glucuronide)
M.F.
M.W. 488.58
CAT# AR-L07086
CAS# NA
Levonorgestrel Sulfate Sodium Salt (D-(-)-Norgestrel Sulfate Sodium Salt, Etonogestrel EP Impurity G Sulfate Sodium Salt)
M.F.
M.W. 391.51 22.99
CAT# AR-L07087
CAS# NA
Levonorgestrel Impurity 12 (6-Methoxy-1,2,3,4-tetrahydronaphthalene)
M.F.
M.W. 162.23
CAT# AR-L07081
CAS# 1730-48-9