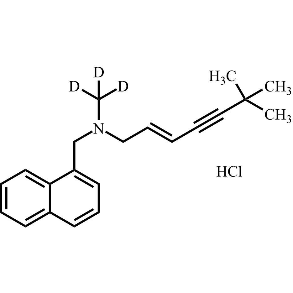
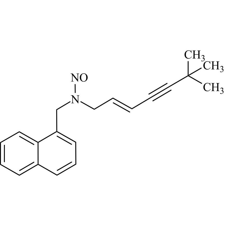
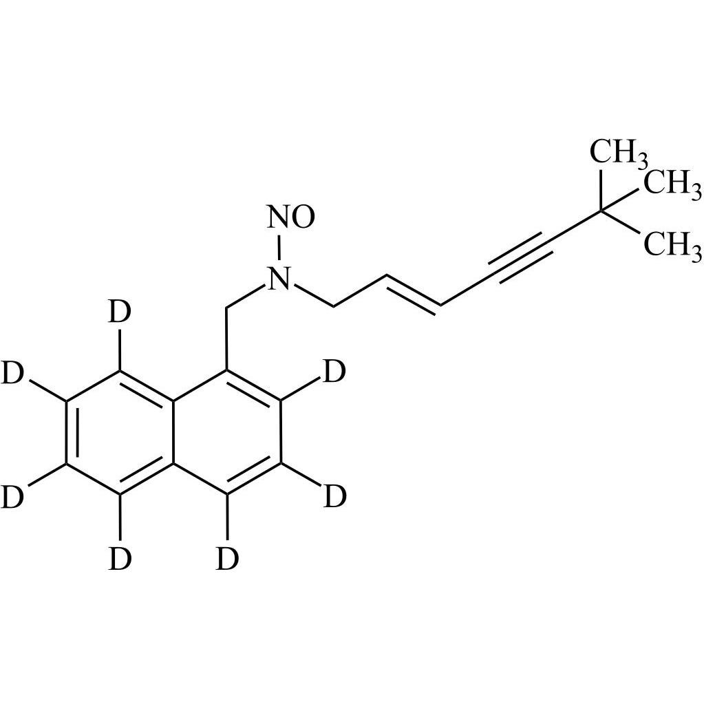
(E)-N-(6,6-dimethylhept-2-en-4-yn-1-yl)-N-methylnitrous amide
N-Nitroso Terbinafine Impurity 18 is a fully characterized chemical compound used as a reference standard of API Terbinafine. The standard offered is compliant with regulatory guidelines. N-Nitroso Terbinafine Impurity 18 is used for analytical method development, method validation (AMV), and Quality Controlled (QC) applications during synthesis and formulation stages of drug development and serves as a reference standard for traceability against pharmacopeial standards (USP or EP). Axios Research products are intended for analytical purposes only and are not for human use. CAS - NA
Related products
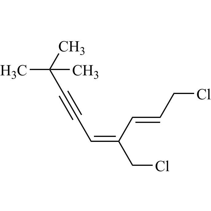
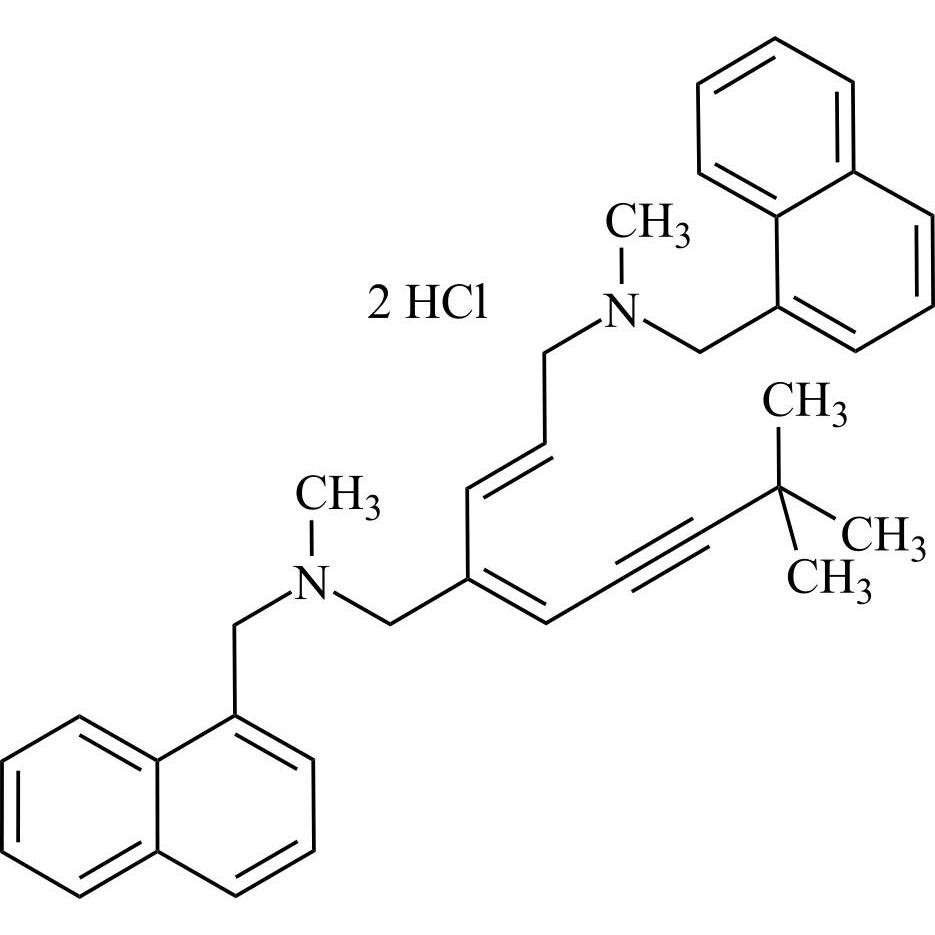
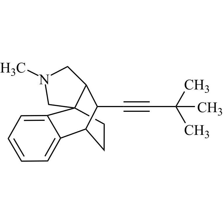
Terbinafine Hydrochloride EP Impurity F HCl
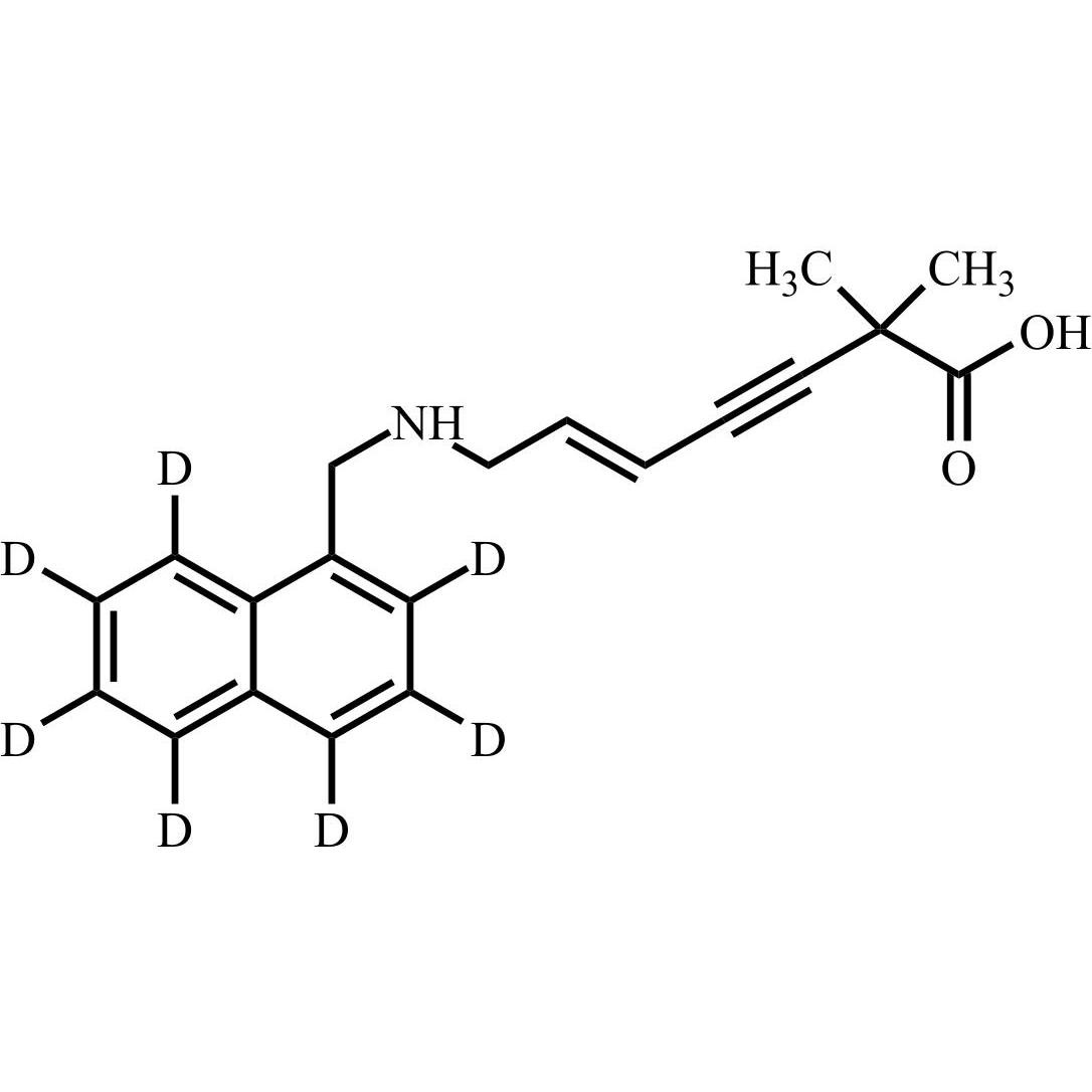
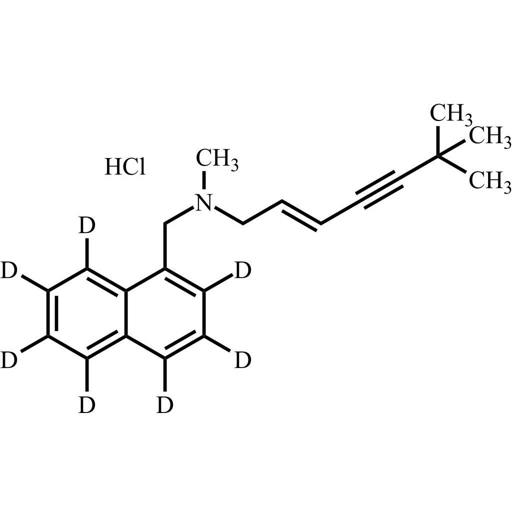
M.F.
M.W. 291.44 36.46
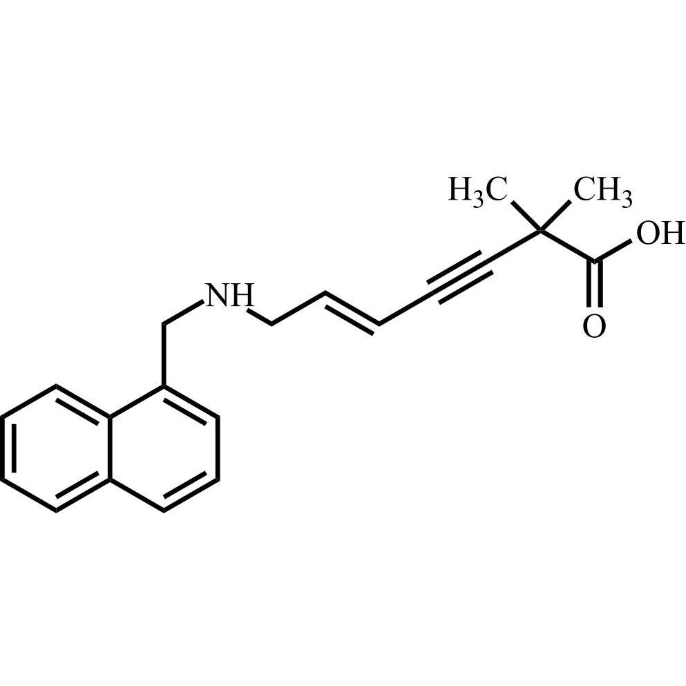
CAT# AR-T01599
CAS# 926281-74-5 (free base)
(E,4E)-4-(4,4-dimethylpent-2-ynylidene)pent-2-ene-1,5-diol
M.F.
M.W. 194.27
CAT# AR-T04414
CAS# 1176744-51-6
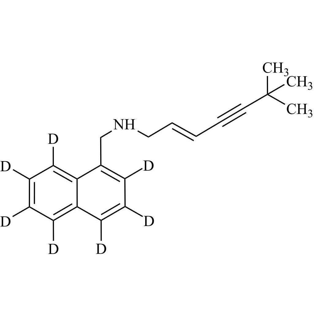
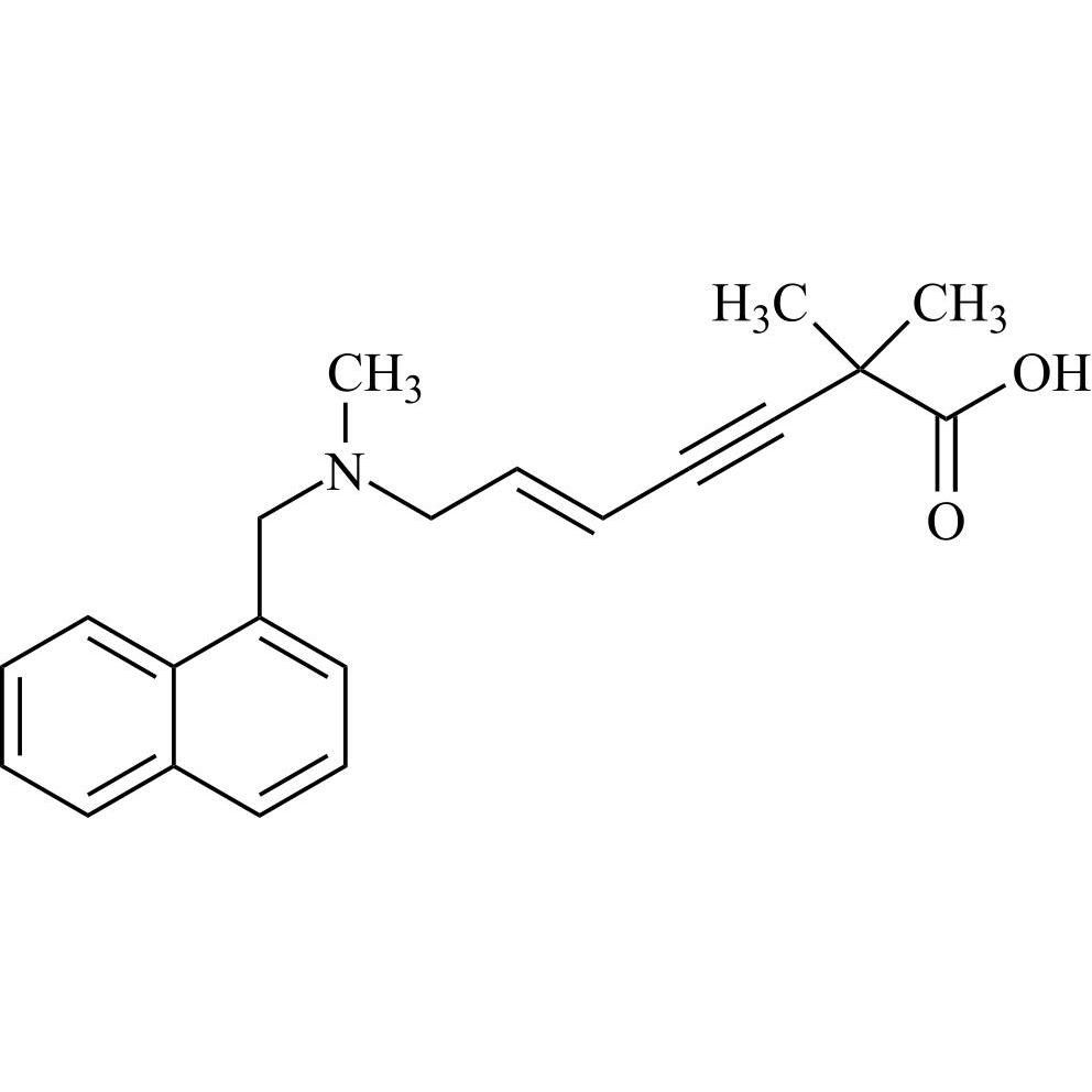
(2E,4E)-4-(4,4-Dimethyl-2-pentyn-1-ylidene)-2-pentenedioic Acid 1,5-Dimethyl Ester
M.F.
M.W. 250.29
CAT# AR-T04415
CAS# 1176744-66-3
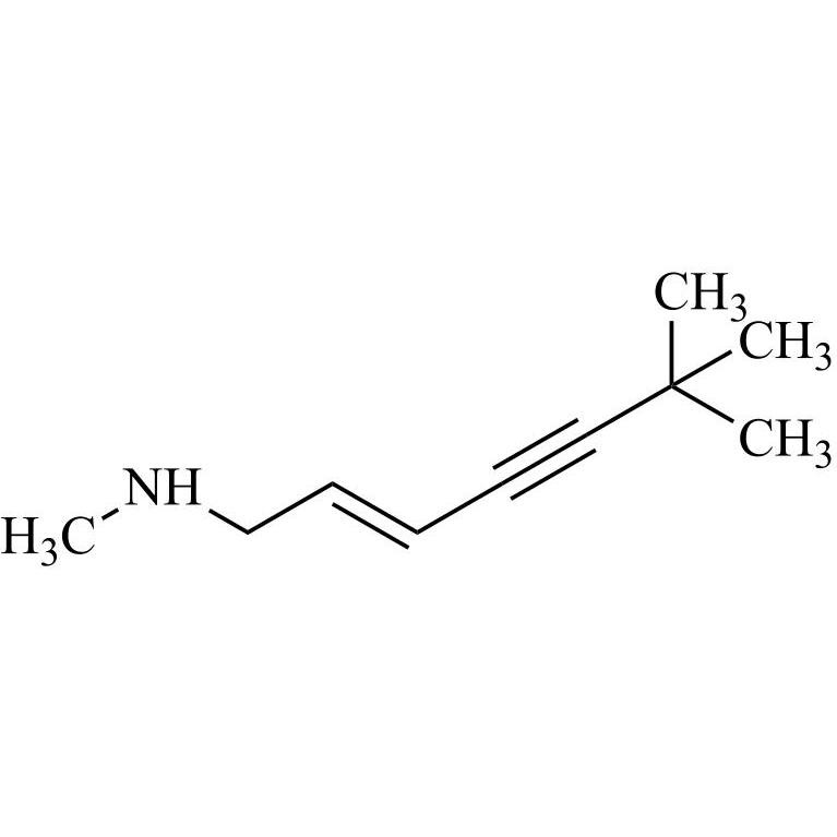
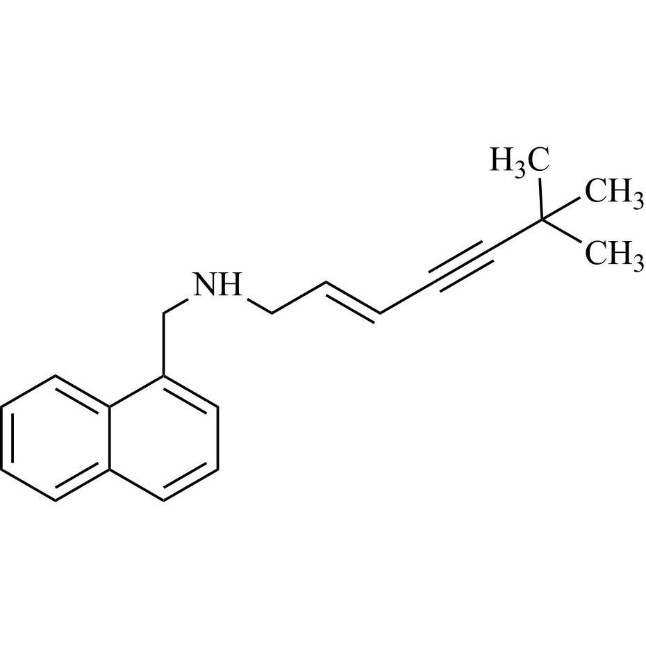
Terbinafine Impurity 4 (Mixture of Z and E Isomers)
M.F.
M.W. 138.21
CAT# AR-T04427
CAS# 114311-70-5