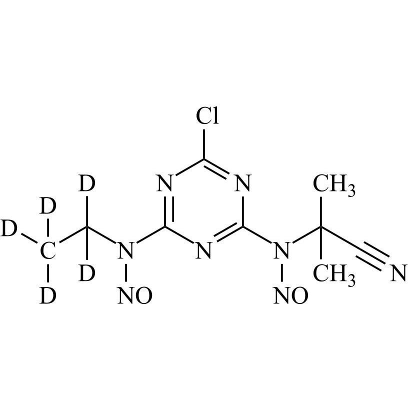
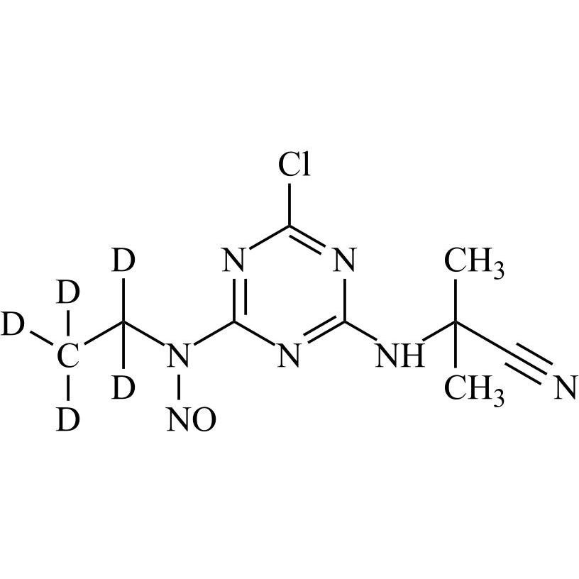
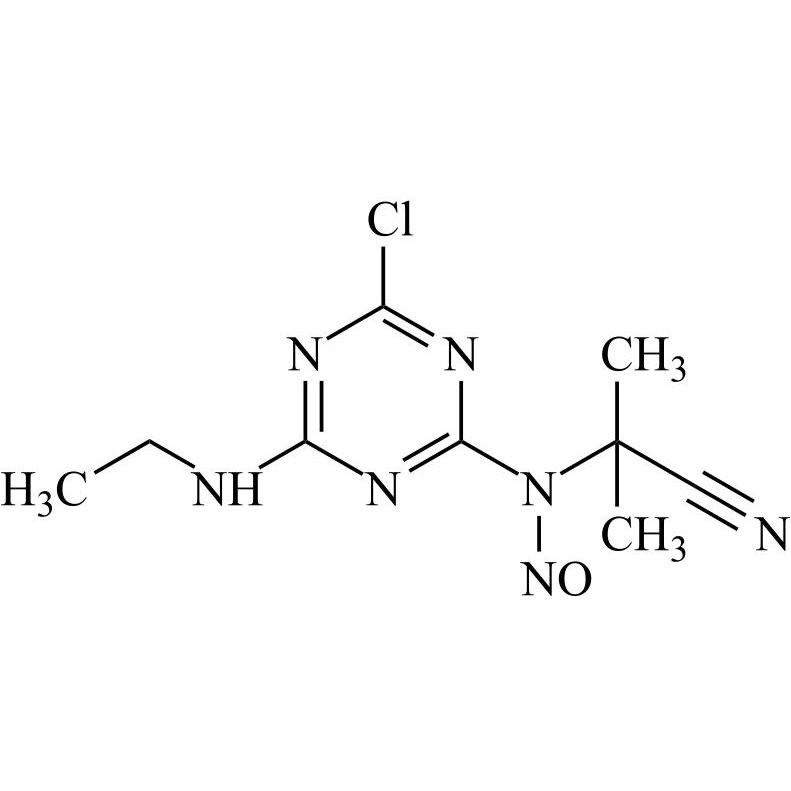
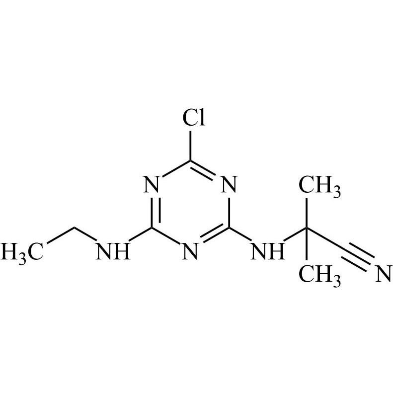
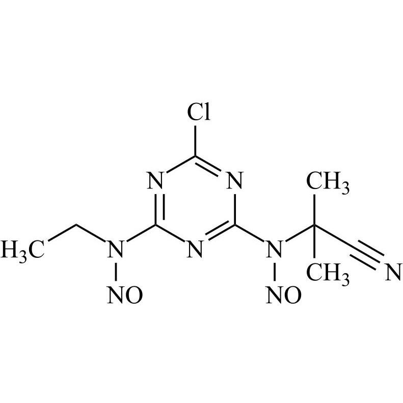
N-(4-chloro-6-((2-cyanopropan-2-yl)amino)-1,3,5-triazin-2-yl)-N-ethylnitrous amide
N1-Nitroso Cyanazine is a fully characterized chemical compound used as a reference standard of API Cyanazine. The standard offered is compliant with regulatory guidelines. N1-Nitroso Cyanazine is used for analytical method development, method validation (AMV), and Quality Controlled (QC) applications during synthesis and formulation stages of drug development and serves as a reference standard for traceability against pharmacopeial standards (USP or EP). Axios Research products are intended for analytical purposes only and are not for human use. CAS - 157673-73-9