Plastic Additive Related Products
Axios Research stands at the forefront of pharmaceutical reference standards ingenuity, providing high quality Plastic Additive Reference Standards. These include both pharmacopeial and non-pharmacopeial Plastic Additive impurities, metabolites, stable isotope products, and nitrosamines. Our Plastic Additive impurity reference standards are essential for pharmaceutical research, aiding in product development, ANDA and DMF submissions, quality control (QC), method validation, and stability studies. They are also used in identifying unknown impurities and evaluating genotoxic potential. Our Plastic Additive related products are meticulously characterized and come with a comprehensive Certificates of Analysis (COA) and analytical data that comply with regulatory standards.
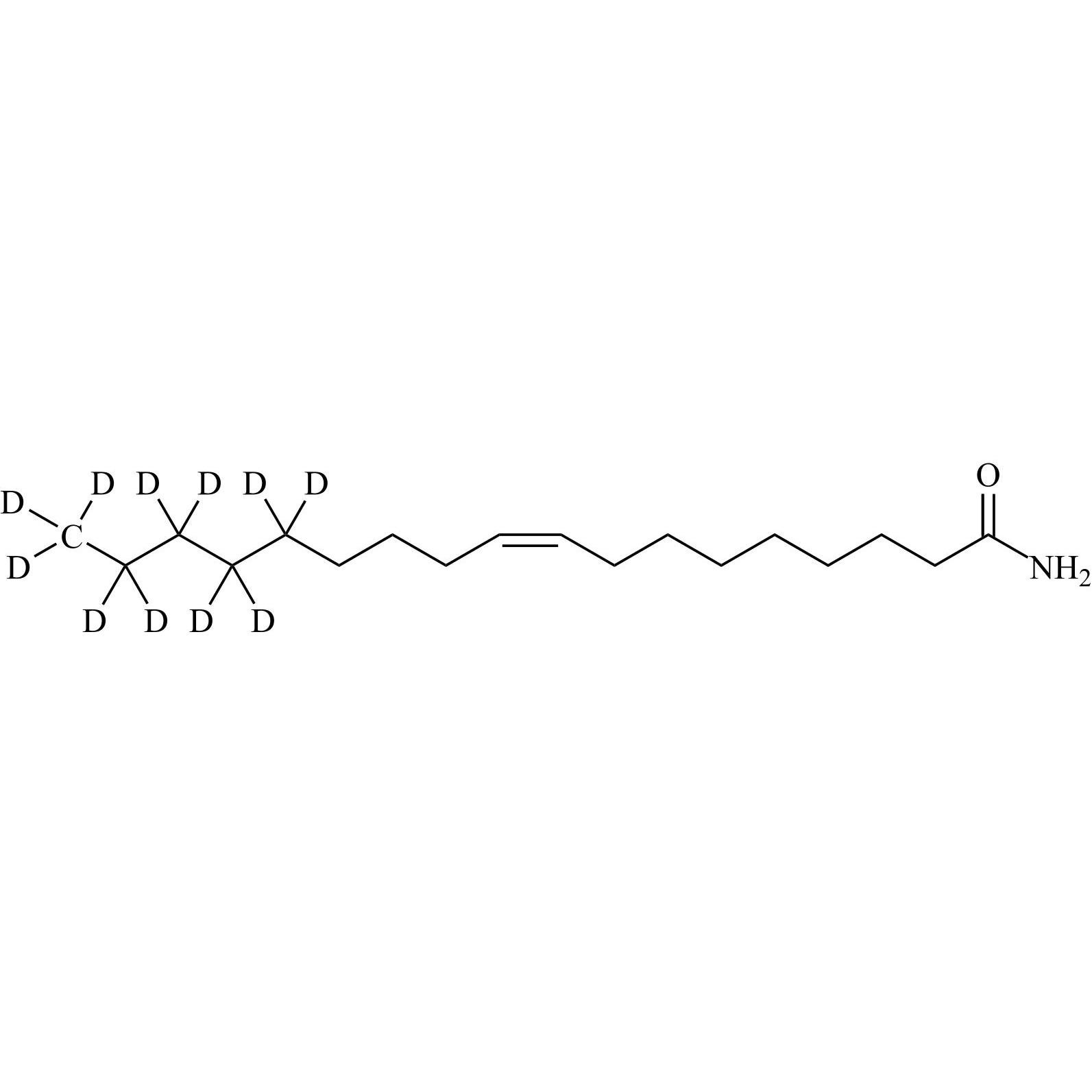
Plastic Additive EP 20-d11 (Plastic Additive USP 12-d11, Oleamide-d11)
M.F.
M.W. 292.55
CAT# AR-P31984
CAS# NA
Plastic Additive EP 20-d9 (Plastic Additive USP 12-d9, Oleamide-d9)
M.F.
M.W. 290.54
CAT# AR-P31985
CAS# NA