- Synonyms3-(((2R,3R)-2-((R)-1-(3,5-bis(trifluoromethyl)phenyl)ethoxy)-3-(4-fluorophenyl)morpholino)methyl)-1H-1,2,4-triazol-5(4H)-one; 5-[[(2R,3R)-2-[(1R)-1-[3,5-Bis(trifluoromethyl)phenyl]ethoxy]-3-(4-fluorophenyl)-4-morpholinyl]methyl]-1,2-dihydro-3H-1,2,4-triazol-3-one; USP Aprepitant Related Compound...
- Description
3-(((2R,3R)-2-((R)-1-(3,5-bis(trifluoromethyl)phenyl)ethoxy)-3-(4-fluorophenyl)morpholino)methyl)-1H-1,2,4-triazol-5(4H)-one; 5-[[(2R,3R)-2-[(1R)-1-[3,5-Bis(trifluoromethyl)phenyl]ethoxy]-3-(4-fluorophenyl)-4-morpholinyl]methyl]-1,2-dihydro-3H-1,2,4-triazol-3-one; USP Aprepitant Related Compound A; Aprepitant EP Impurity E
(1R,2R,3R)-Aprepitant is a fully characterized chemical compound used as a reference standard of API Aprepitant. The standard offered is compliant with regulatory guidelines. (1R,2R,3R)-Aprepitant is used for analytical method development, method validation (AMV), and Quality Controlled (QC) applications during synthesis and formulation stages of drug development and serves as a reference standard for traceability against pharmacopeial standards (USP or EP). Axios Research products are intended for analytical purposes only and are not for human use. CAS - 1148113-53-4
Related products
Fosaprepitant Impurity 11 (Defluoro Fosaprepitant Benzyl Ester)
M.F.
M.W. 686.55
CAT# AR-A02375
CAS# NA
4-benzyl-3-oxomorpholin-2-yl 2,2,2-trifluoroacetate
M.F.
M.W. 303.24
CAT# AR-A02393
CAS# 502537-07-7
N-(Destriazolonomethyl) N-(Methylcarboxyacetamidohydrazono) Aprepitant
M.F.
M.W. 566.48
CAT# AR-A02368
CAS# 219821-37-1
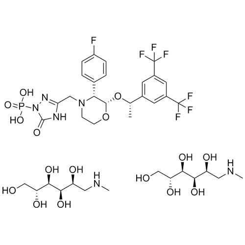
Fosaprepitant-d4 Dimeglumine
M.F.
M.W. 618.44 2 195.22
CAT# AR-A02341
CAS# 265121-04-8 (non-labelled)