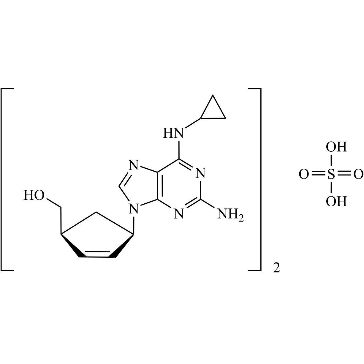
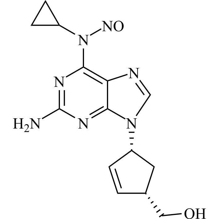
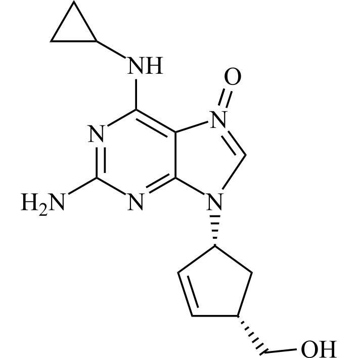
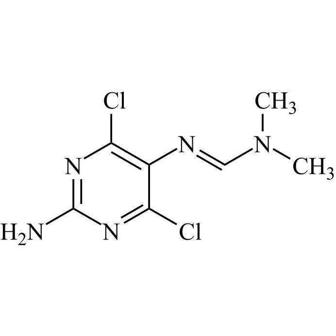
((1R,3S)-3-(2-amino-6-chloro-9H-purin-9-yl)cyclopentyl)methanol
((1R,3S)-3-(2-amino-6-chloro-9H-purin-9-yl)cyclopentyl)methanol is a fully characterized chemical compound used as a reference standard of API Abacavir. The standard offered is compliant with regulatory guidelines. ((1R,3S)-3-(2-amino-6-chloro-9H-purin-9-yl)cyclopentyl)methanol is used for analytical method development, method validation (AMV), and Quality Controlled (QC) applications during synthesis and formulation stages of drug development and serves as a reference standard for traceability against pharmacopeial standards (USP or EP). Axios Research products are intended for analytical purposes only and are not for human use. CAS -