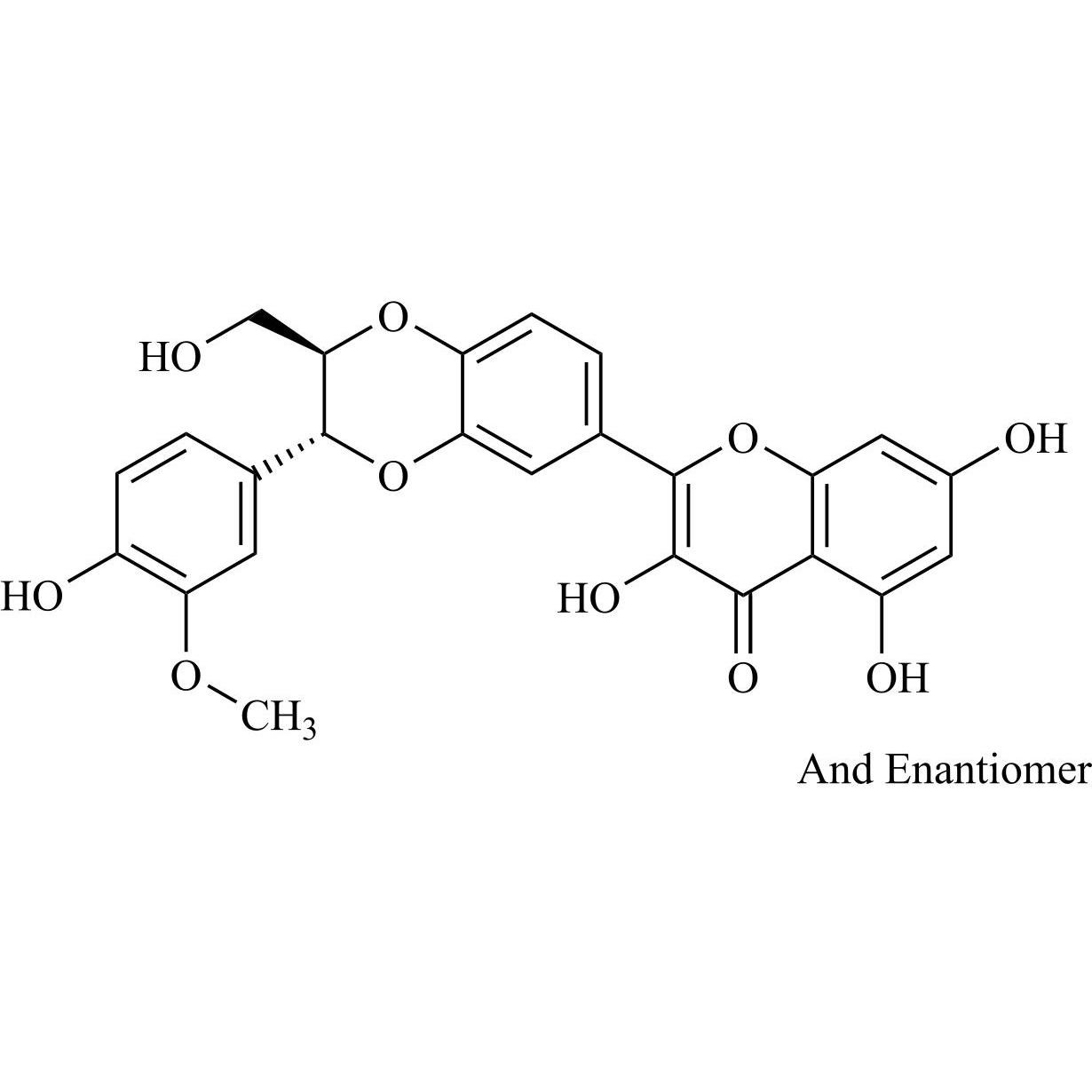
- Synonyms3,5,7-Trihydroxy-2-((2S,3S)-3-(4-hydroxy-3-methoxyphenyl)-2-(hydroxymethyl)-2,3-dihydrobenzo[b][1,4]dioxin-6-yl)-4H-chromen-4-one
- Description
3,5,7-Trihydroxy-2-((2S,3S)-3-(4-hydroxy-3-methoxyphenyl)-2-(hydroxymethyl)-2,3-dihydrobenzo[b][1,4]dioxin-6-yl)-4H-chromen-4-one
2,3-Dehydrosilybin B is a fully characterized chemical compound used as a reference standard of API Silybin. The standard offered is compliant with regulatory guidelines. 2,3-Dehydrosilybin B is used for analytical method development, method validation (AMV), and Quality Controlled (QC) applications during synthesis and formulation stages of drug development and serves as a reference standard for traceability against pharmacopeial standards (USP or EP). Axios Research products are intended for analytical purposes only and are not for human use. CAS - 142796-24-5