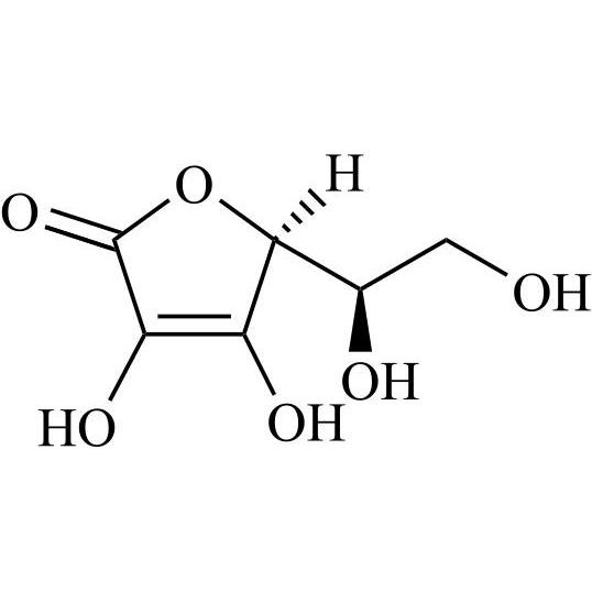
(4R,5S)-4,5,6-trihydroxy-2,3-dioxohexanoic acid
2,3-Diketogulonic Acid is a fully characterized chemical compound used as a reference standard of API Ascorbic Acid. The standard offered is compliant with regulatory guidelines. 2,3-Diketogulonic Acid is used for analytical method development, method validation (AMV), and Quality Controlled (QC) applications during synthesis and formulation stages of drug development and serves as a reference standard for traceability against pharmacopeial standards (USP or EP). Axios Research products are intended for analytical purposes only and are not for human use. CAS - 3445-22-5