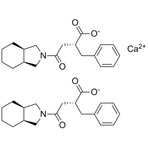
- Synonyms(R)-2-benzyl-4-((3aR,7aS)-hexahydro-1H-isoindol-2(3H)-yl)-4-oxobutanoicacid,calciumsalt
- Description
(R)-2-benzyl-4-((3aR,7aS)-hexahydro-1H-isoindol-2(3H)-yl)-4-oxobutanoicacid,calciumsalt
(2R)-Mitiglinide-d5 Calcium Salt is a fully characterized chemical compound used as a reference standard of API Mitiglinide. The standard offered is compliant with regulatory guidelines. (2R)-Mitiglinide-d5 Calcium Salt is used for analytical method development, method validation (AMV), and Quality Controlled (QC) applications during synthesis and formulation stages of drug development and serves as a reference standard for traceability against pharmacopeial standards (USP or EP). Axios Research products are intended for analytical purposes only and are not for human use. CAS -
Related products
Mitiglinide Impurity 2 Calcium Salt (trans-Mitiglinide Calcium Salt)

M.F.
M.W. 628.82 40.08
CAT# AR-M02081
CAS# NA
(2R)-Mitiglinide Calcium Salt

M.F.
M.W. 314.41 1/2 40.08
CAT# AR-M02077
CAS# 1266354-02-2 (anhydrous)
Mitiglinide Impurity 2 Calcium Salt (trans-Mitiglinide Calcium Salt)

M.F.
M.W. 2*314.41 40.08
CAT# AR-M04906
CAS# NA
(2S)-Mitiglinide-d5 Calcium Salt

M.F.
M.W. 319.44 0.5 40.08
CAT# AR-M02073
CAS# 145525-41-3 (non-labelled)