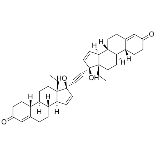
- Synonyms(8R,9S,10R,13S,14S,17R)-13-ethyl-17-ethynyl-3-methoxy-2,7,8,9,10,11,12,13,14,17-decahydro-1H-cyclopenta[a]phenanthren-17-ol
- Description
(8R,9S,10R,13S,14S,17R)-13-ethyl-17-ethynyl-3-methoxy-2,7,8,9,10,11,12,13,14,17-decahydro-1H-cyclopenta[a]phenanthren-17-ol
3-Enol Gestodene is a fully characterized chemical compound used as a reference standard of API Gestodene. The standard offered is compliant with regulatory guidelines. 3-Enol Gestodene is used for analytical method development, method validation (AMV), and Quality Controlled (QC) applications during synthesis and formulation stages of drug development and serves as a reference standard for traceability against pharmacopeial standards (USP or EP). Axios Research products are intended for analytical purposes only and are not for human use. CAS -
Related products
Gestodene EP Impurity F (15-alfa-acetoxy Gestodene)
M.F.
M.W. 370.49
CAT# AR-G01276
CAS# 267650-77-1