- Synonyms2-methyl-6-oxo-1,6-dihydro-[3,4'-bipyridine]-5-carboxylicacid;1,6-Dihydro-2-methyl-6-oxo-[3,4'-bipyridine]-5-carboxylic Acid; Milrinone Impurity 12;
- Description
2-methyl-6-oxo-1,6-dihydro-[3,4'-bipyridine]-5-carboxylicacid;1,6-Dihydro-2-methyl-6-oxo-[3,4'-bipyridine]-5-carboxylic Acid; Milrinone Impurity 12;
5-Decyano 5-Carboxymilrinone is a fully characterized chemical compound used as a reference standard of API Milrinone. The standard offered is compliant with regulatory guidelines. 5-Decyano 5-Carboxymilrinone is used for analytical method development, method validation (AMV), and Quality Controlled (QC) applications during synthesis and formulation stages of drug development and serves as a reference standard for traceability against pharmacopeial standards (USP or EP). Axios Research products are intended for analytical purposes only and are not for human use. CAS - 80047-38-7
Related products
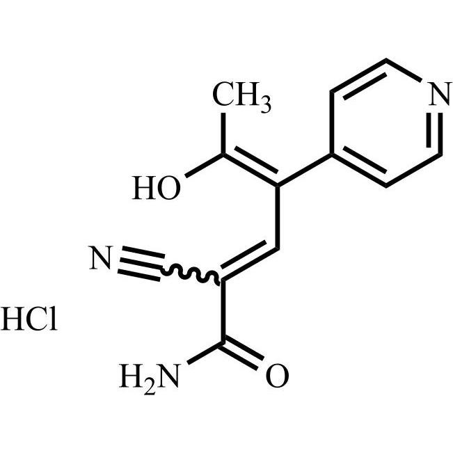
Milrinone Impurity 2 HCl
M.F.
M.W. 243.22 36.46; 225.21 36.46
CAT# AR-M01916
CAS# 400063-10-7 (aldehyde form)