- Synonyms?-Lipoic Acid; 6,8-Dimercaptooctanoic Acid; (±)-Dihydro-?-lipoic Acid; (±)-Dihydrolipoic Acid; DL-Dihydro-?-lipoic Acid; Dihydrolipoic Acid; Dihydrothioctic Acid; Reduced Lipoic Acid; Reduced Thioctic Acid; Dihydrothioctic Acid; dl-Dihydrolipoic Acid
- Description
?-Lipoic Acid; 6,8-Dimercaptooctanoic Acid; (±)-Dihydro-?-lipoic Acid; (±)-Dihydrolipoic Acid; DL-Dihydro-?-lipoic Acid; Dihydrolipoic Acid; Dihydrothioctic Acid; Reduced Lipoic Acid; Reduced Thioctic Acid; Dihydrothioctic Acid; dl-Dihydrolipoic Acid
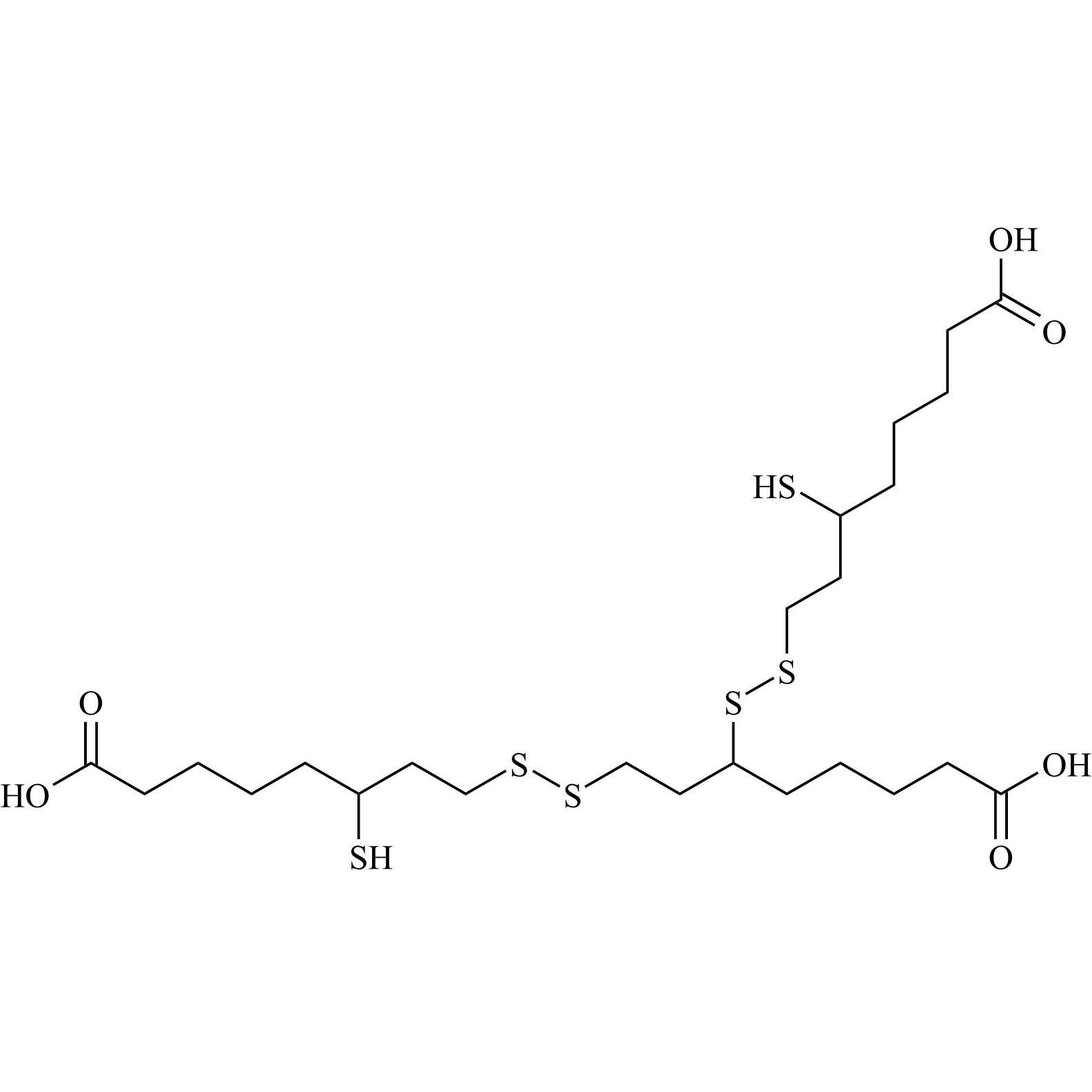
6,8-dimercaptooctanoic acid is a fully characterized chemical compound used as a reference standard of API Thioctic Acid. The standard offered is compliant with regulatory guidelines. 6,8-dimercaptooctanoic acid is used for analytical method development, method validation (AMV), and Quality Controlled (QC) applications during synthesis and formulation stages of drug development and serves as a reference standard for traceability against pharmacopeial standards (USP or EP). Axios Research products are intended for analytical purposes only and are not for human use. CAS - 462-20-4
Related products
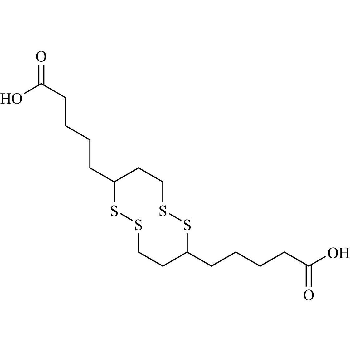
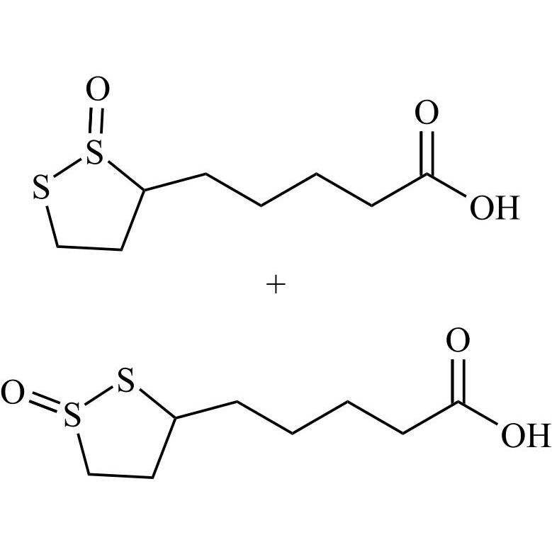
rac-Lipoic Acid Monosulfoxide (Mixture of Regioisomers and Diastereomers)
M.F.
M.W. 222.32
CAT# AR-T01860
CAS# 108015-78-7
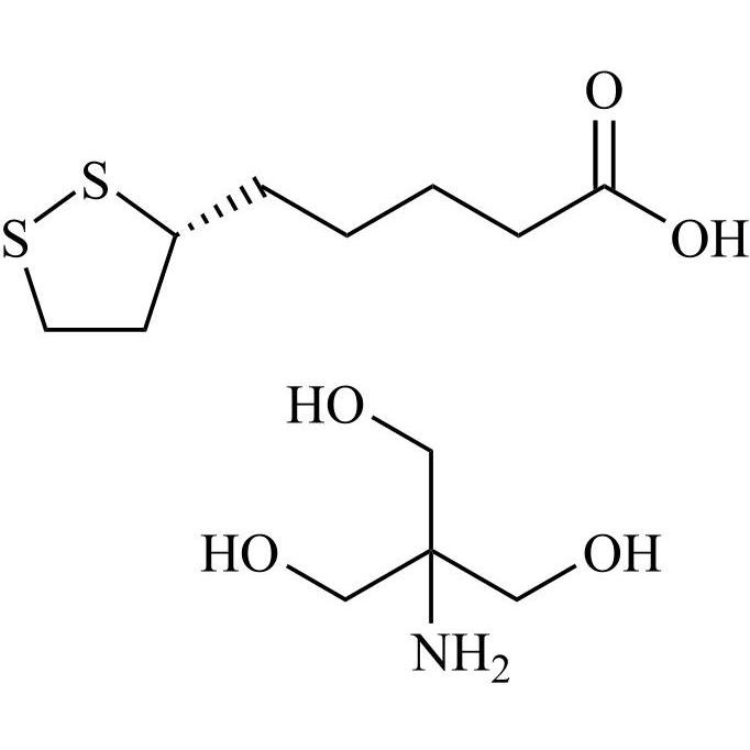
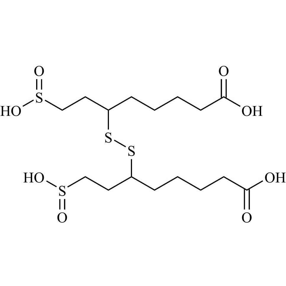
Thioctic Acid EP Impurity A (1,2,3-Trithiane-4-Pentanoic Acid)
M.F.
M.W. 238.38
CAT# AR-T01855
CAS# 1204245-29-3
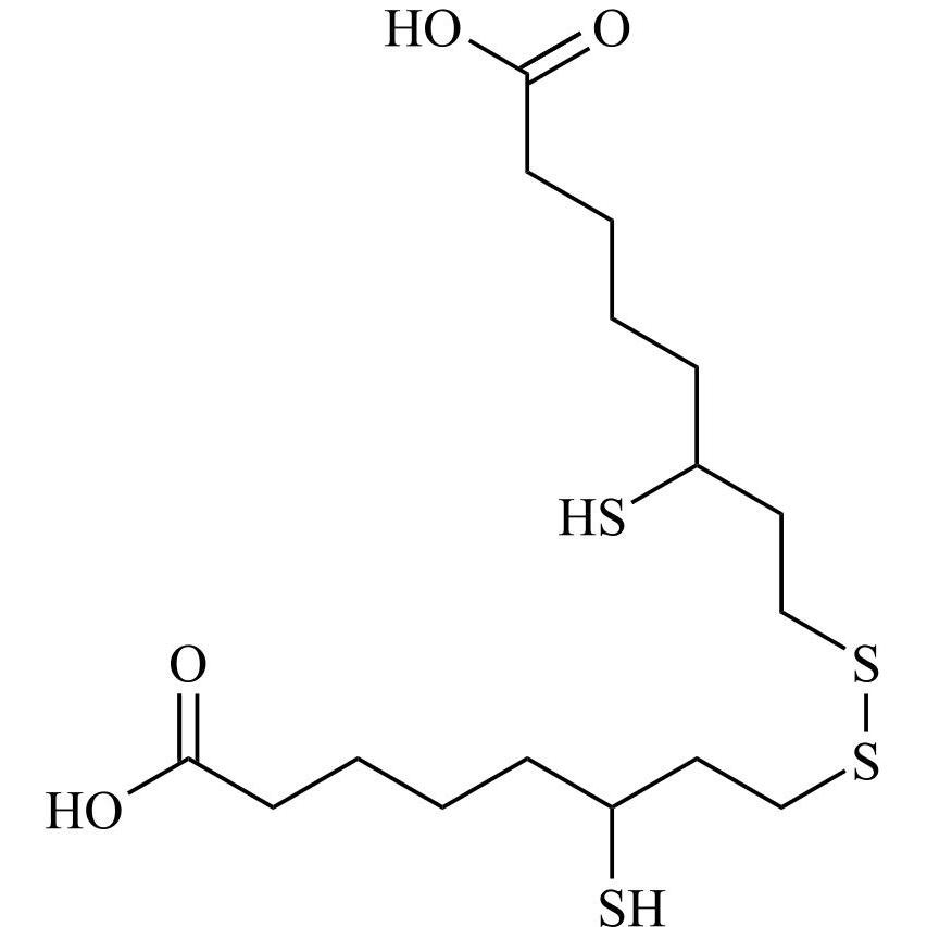
Thioctic Acid Impurity 20 Sodium Salt (Mixture of Isomers)
M.F.
M.W. 221.32 22.99
CAT# AR-T04904
CAS# NA
Thioctic Acid Impurity 21 Sodium Salt (Mixture of Isomers)
M.F.
M.W. 221.31 22.99
CAT# AR-T04907
CAS# NA
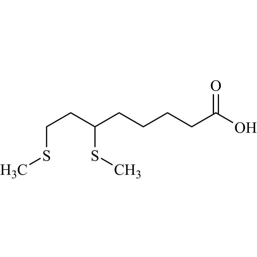
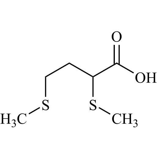
Thioctic Acid Impurity 37 (4,6-Bis(methylthio)Hexanoic Acid)
M.F.
M.W. 208.33
CAT# AR-T04905
CAS# 5659-81-4