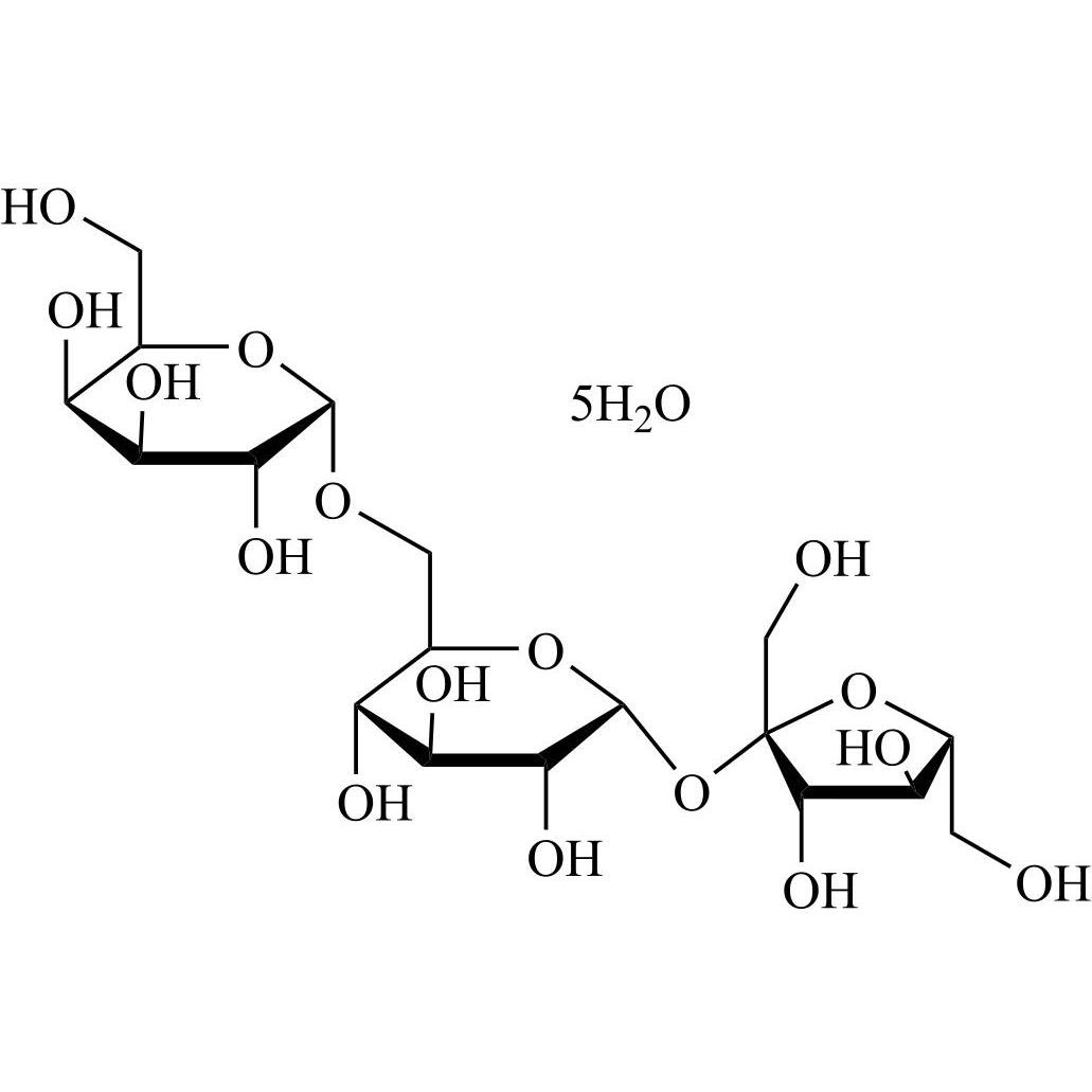
6'-β-Galactobiose
6-O-beta-D-Galactopyranosyl-D-Galactose is a fully characterized chemical compound used as a reference standard of API Galactose. The standard offered is compliant with regulatory guidelines. 6-O-beta-D-Galactopyranosyl-D-Galactose is used for analytical method development, method validation (AMV), and Quality Controlled (QC) applications during synthesis and formulation stages of drug development and serves as a reference standard for traceability against pharmacopeial standards (USP or EP). Axios Research products are intended for analytical purposes only and are not for human use. CAS - 5077-31-6
Related products
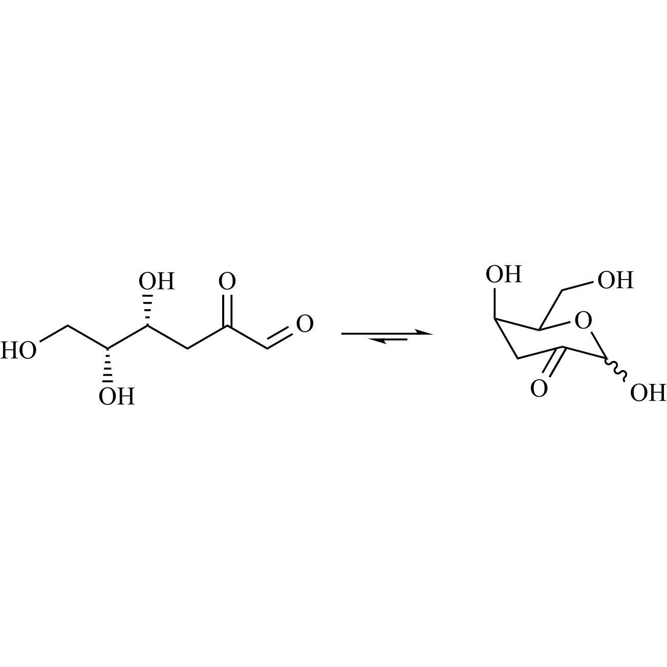
D-Abequose (3,6-Dideoxy-D-xylo-hexose)
M.F.
M.W. 148.16
CAT# AR-G01989
CAS# 644-48-4, 56816-60-5 (open ring form)