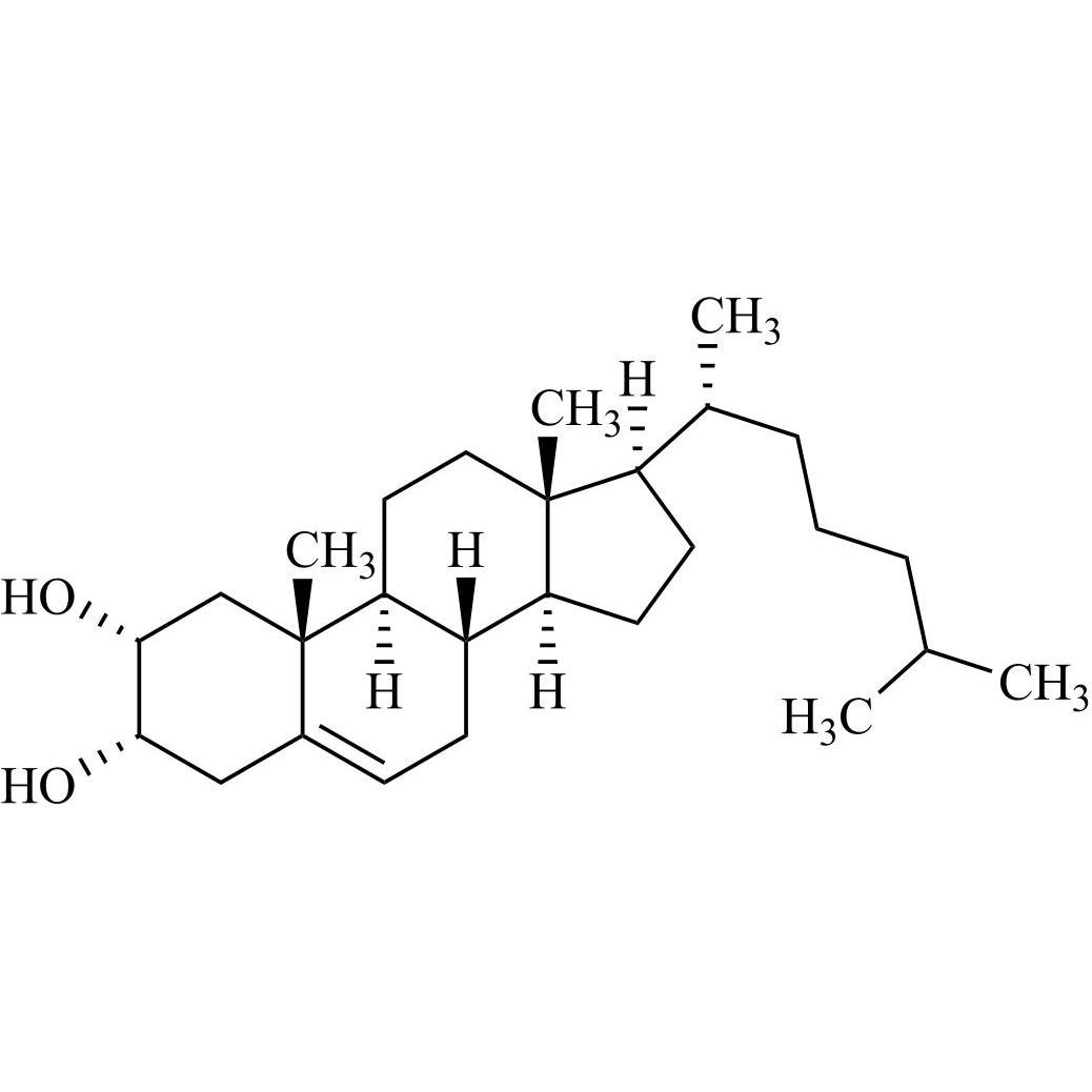
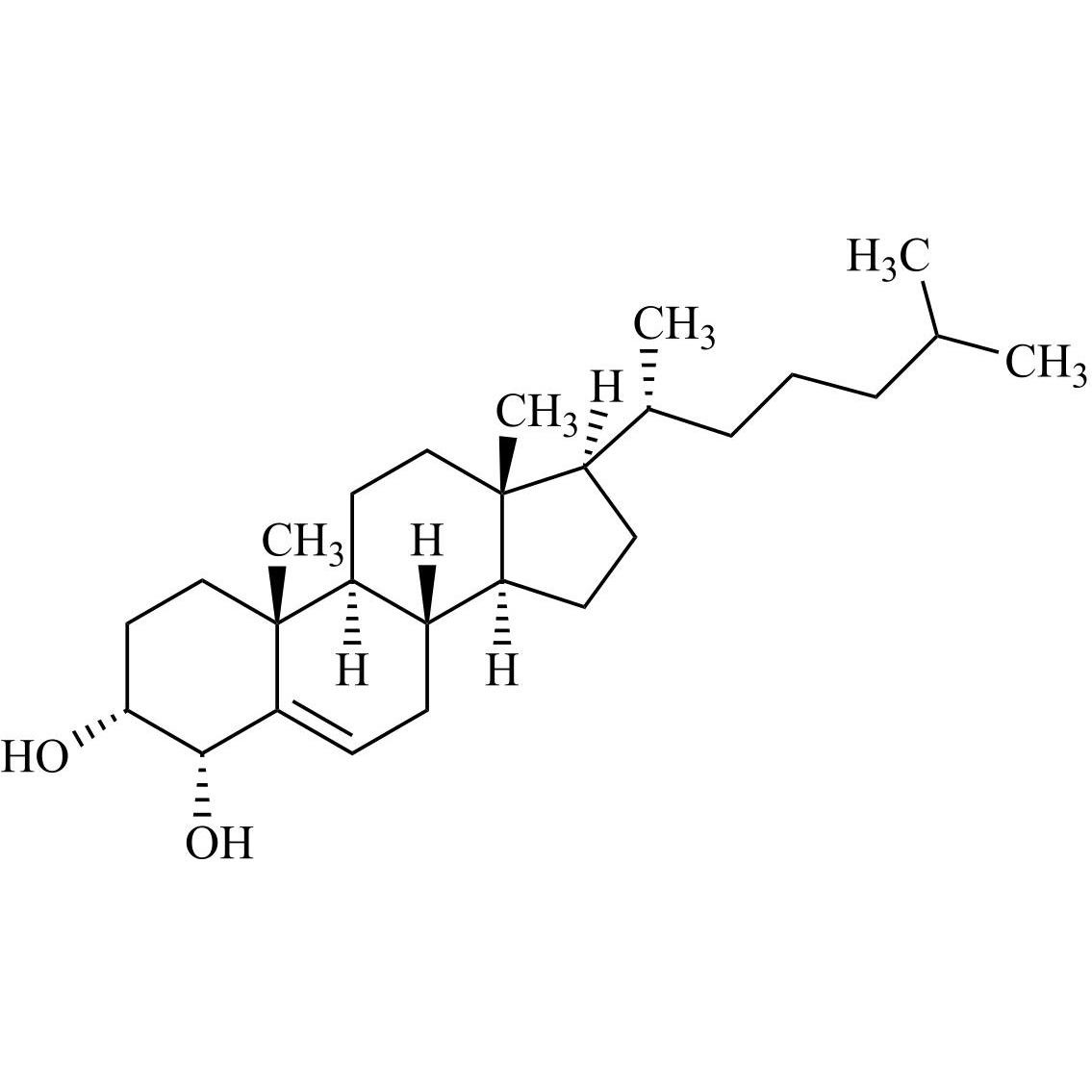
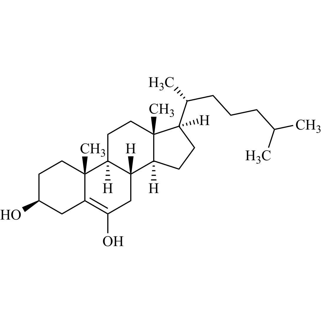
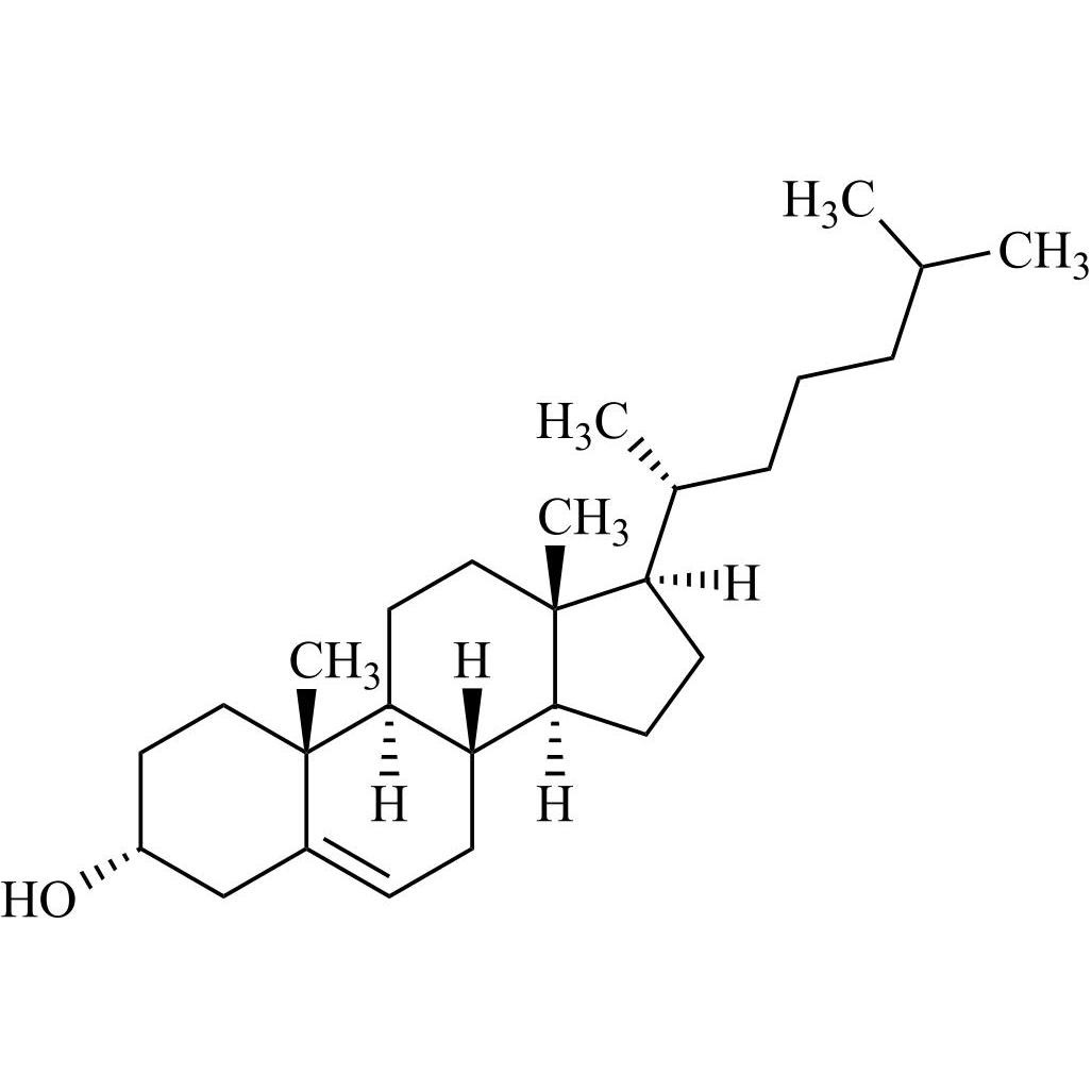
- Synonyms(3S,8S,9S,10R,13R,14S,17R)-3-hydroxy-10,13-dimethyl-17-((R)-6-methylheptan-2-yl)-3,4,8,9,10,11,12,13,14,15,16,17-dodecahydro-1H-cyclopenta[a]phenanthren-7(2H)-one; 7-Keto Cholesterol; (3?)-3-Hydroxycholest-5-en-7-one; 3?-Hydroxycholest-5-en-7-one; 7-Oxocholesterol; Cholest-5-en-3?-ol-7-one; SC 4722
- Description
(3S,8S,9S,10R,13R,14S,17R)-3-hydroxy-10,13-dimethyl-17-((R)-6-methylheptan-2-yl)-3,4,8,9,10,11,12,13,14,15,16,17-dodecahydro-1H-cyclopenta[a]phenanthren-7(2H)-one; 7-Keto Cholesterol; (3?)-3-Hydroxycholest-5-en-7-one; 3?-Hydroxycholest-5-en-7-one; 7-Oxocholesterol; Cholest-5-en-3?-ol-7-one; SC 4722
7-Keto-Cholesterol is a fully characterized chemical compound used as a reference standard of API Cholesterol. The standard offered is compliant with regulatory guidelines. 7-Keto-Cholesterol is used for analytical method development, method validation (AMV), and Quality Controlled (QC) applications during synthesis and formulation stages of drug development and serves as a reference standard for traceability against pharmacopeial standards (USP or EP). Axios Research products are intended for analytical purposes only and are not for human use. CAS - 566-28-9
Related products
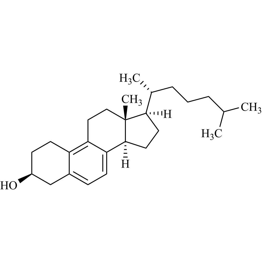
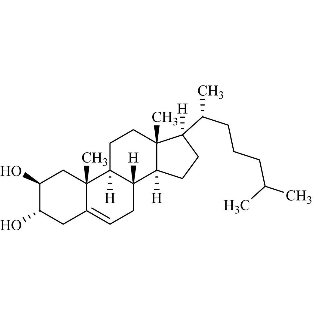
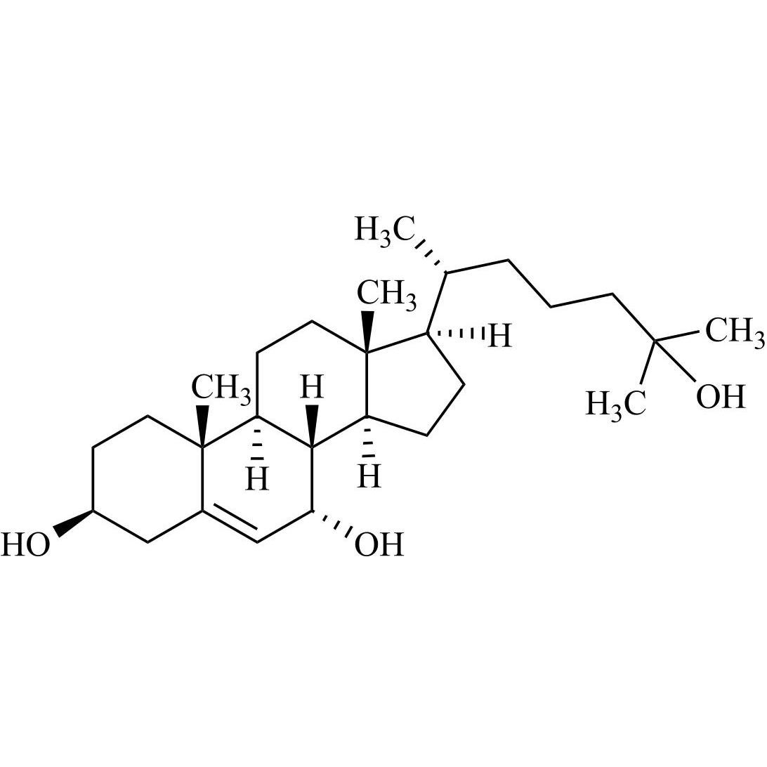
Cholecalciferol EP Impurity B (3-beta-7-Dehydro Cholesterol (Cholesta-5,7-dien-3-beta-ol))
M.F.
M.W. 384.65
CAT# AR-C02599
CAS# 434-16-2
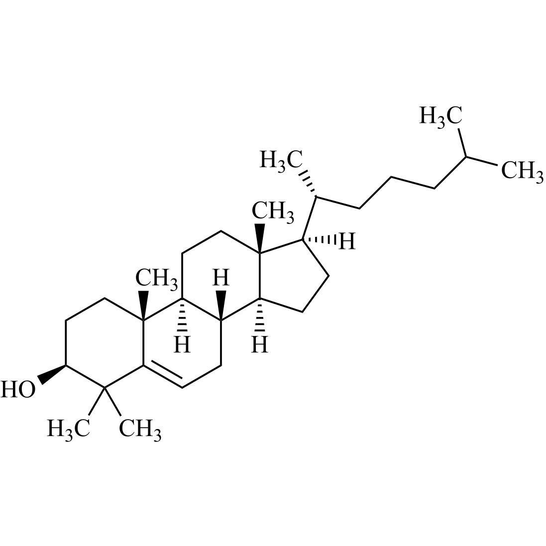
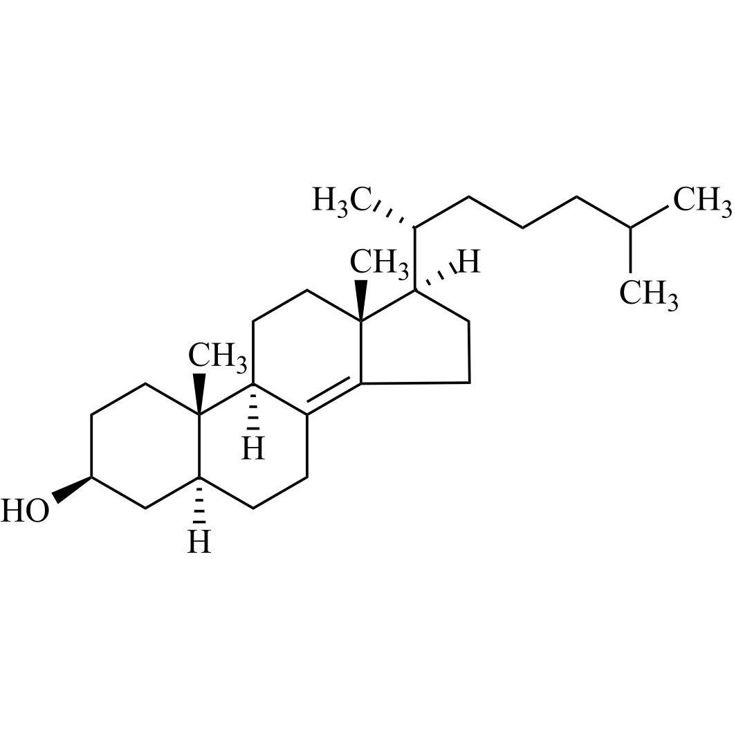
Cholesterol Impurity 7 Triethylamine Salt (Desmosterol Sulfate Triethylamine Salt)
M.F.
M.W. 464.71 101.19
CAT# AR-C07330
CAS# NA
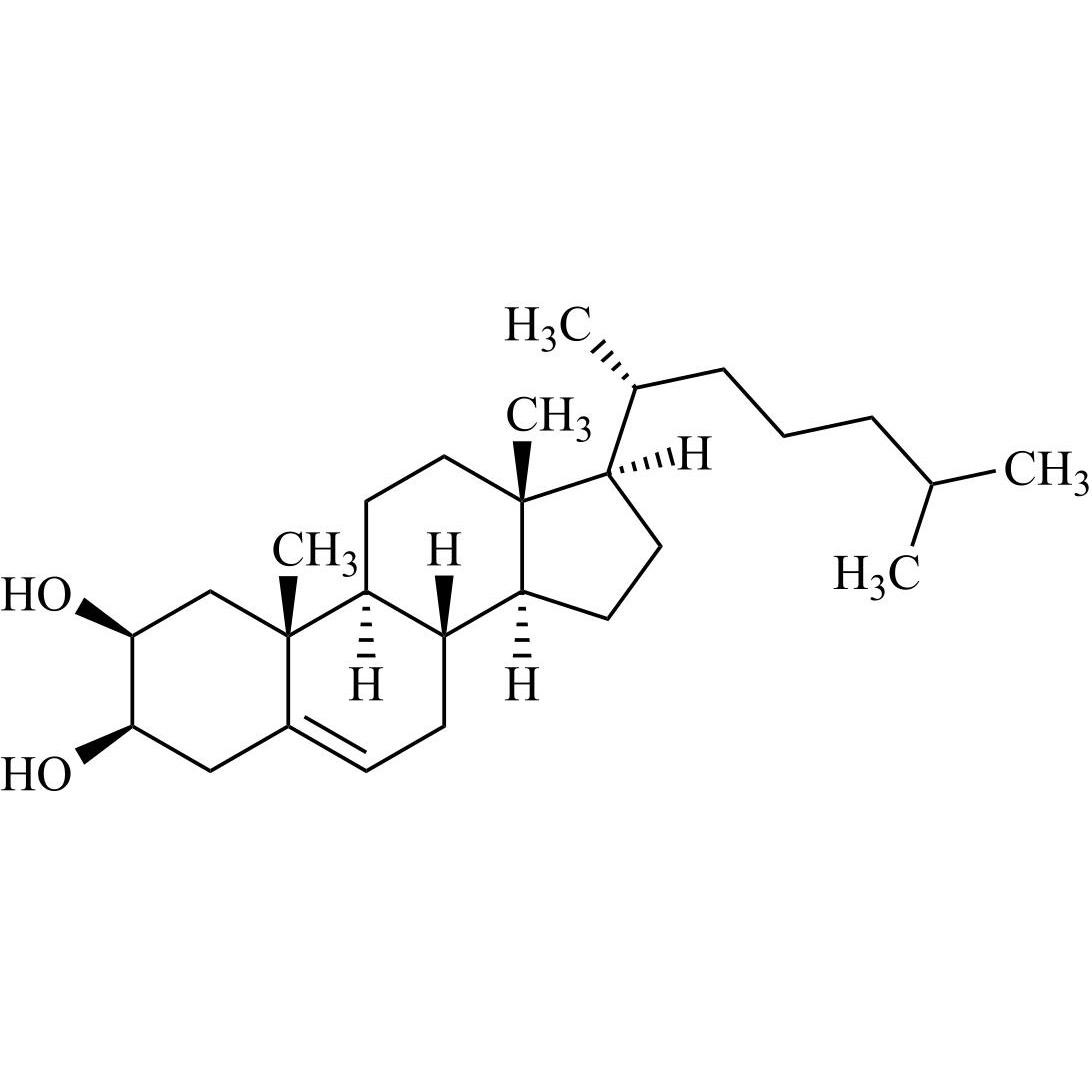
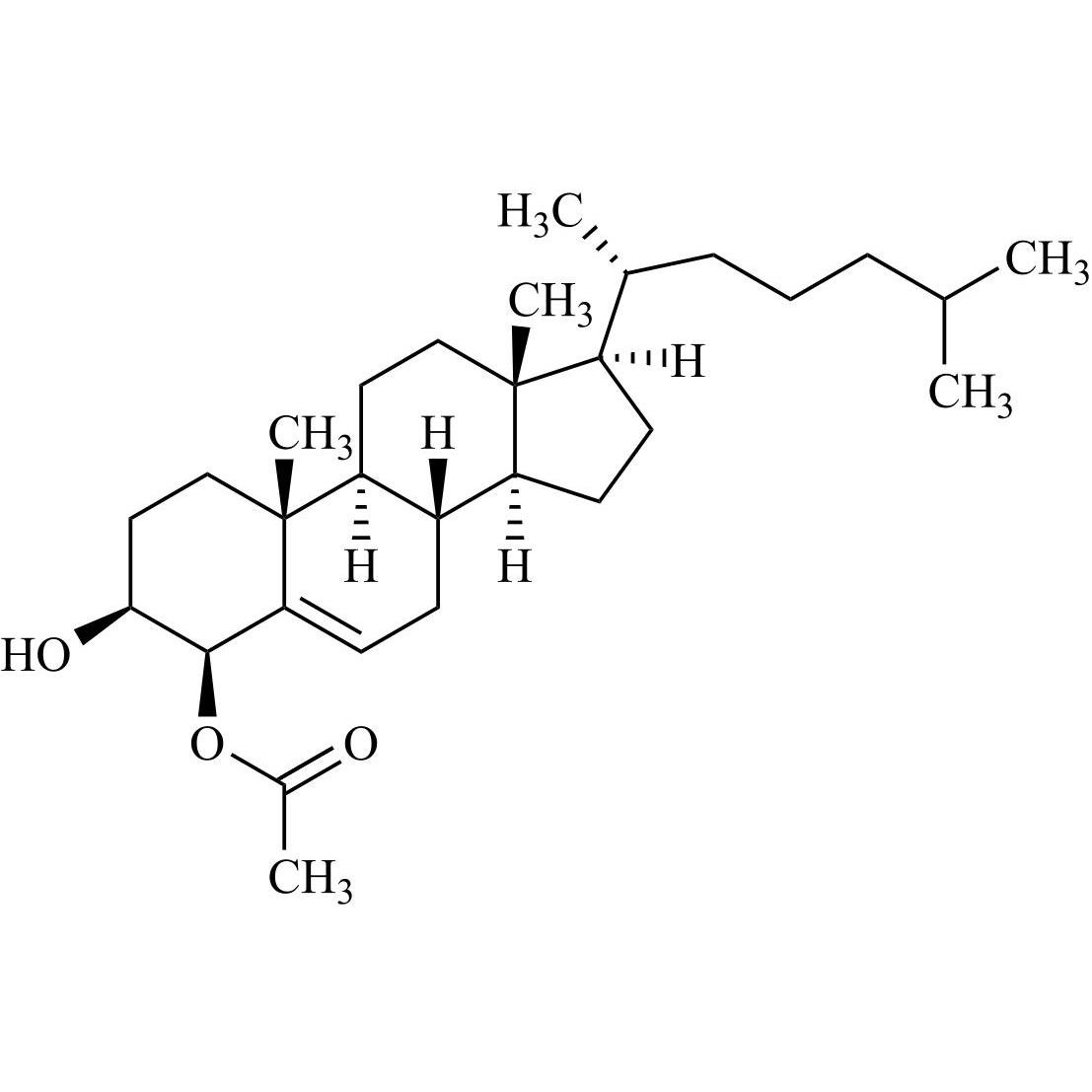
Cholesterol Sulfate Triethylamine Salt
M.F.
M.W. 466.72 101.19
CAT# AR-C07329
CAS# 1256-86-6 (free acid)
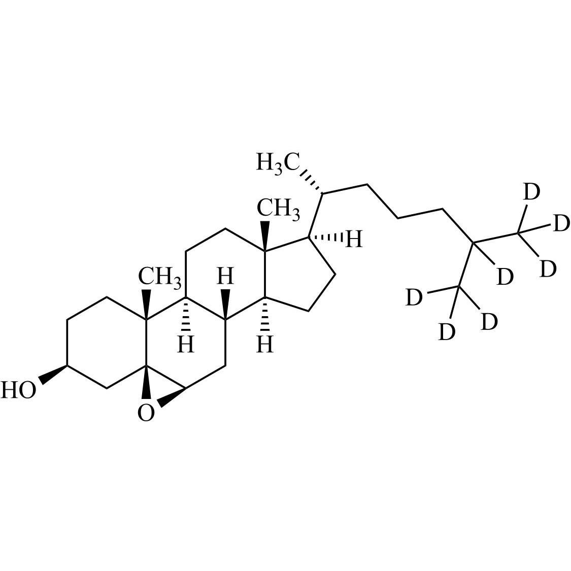
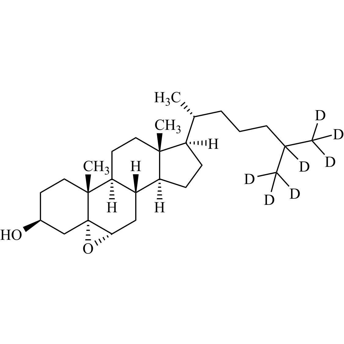
Cholecalciferol EP Impurity B-d7 (3-beta-7-Dehydro Cholesterol-d7)
M.F.
M.W. 391.69
CAT# AR-C07344
CAS# 388622-58-0