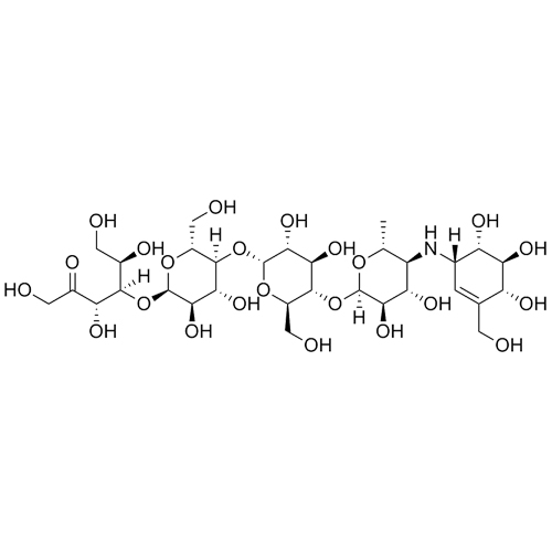
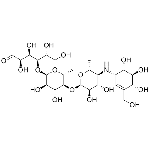
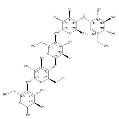
(1S,2S,3R,6S)-6-(((2R,3S,4S,5R,6R)-6-(((2R,3S,4R,5R,6S)-4,5-dihydroxy-2-(hydroxymethyl)-6-(((1R,5S,6R)-4,5,6-trihydroxy-2-(hydroxymethyl)cyclohex-2-en-1-yl)oxy)tetrahydro-2H-pyran-3-yl)oxy)-4,5-dihydroxy-2-methyltetrahydro-2H-pyran-3-yl)amino)-4-(hydroxymethyl)cyclohex-4-ene-1,2,3-triol
Acarbose Impurity B is a fully characterized chemical compound used as a reference standard of API Acarbose. The standard offered is compliant with regulatory guidelines. Acarbose Impurity B is used for analytical method development, method validation (AMV), and Quality Controlled (QC) applications during synthesis and formulation stages of drug development and serves as a reference standard for traceability against pharmacopeial standards (USP or EP). Axios Research products are intended for analytical purposes only and are not for human use. CAS - 1220983-54-9