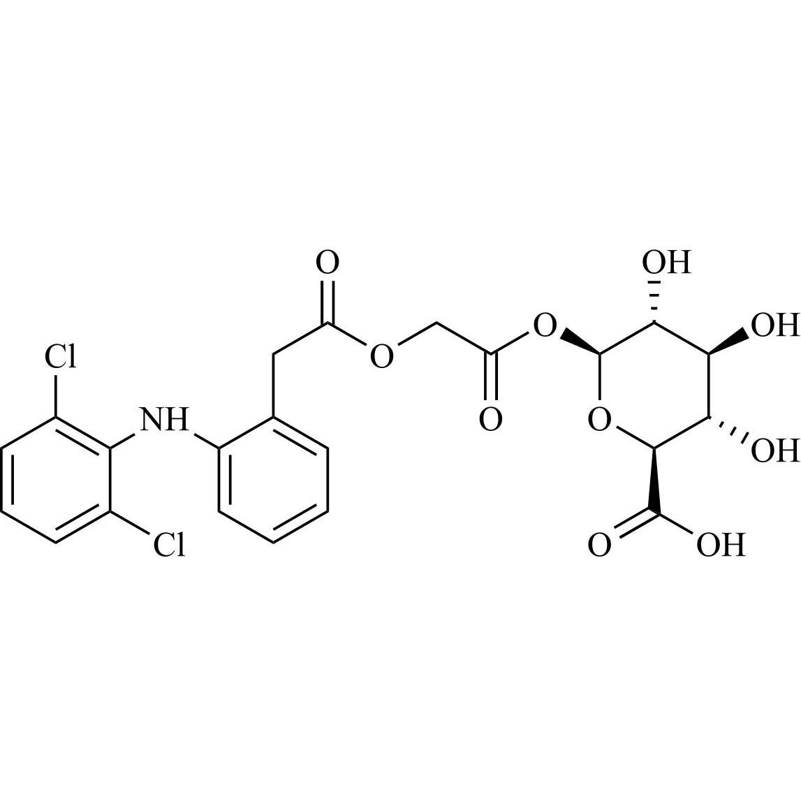
- Synonyms2-(2-(2-(2-(2-((2,6-dichlorophenyl)amino)phenyl)acetoxy)acetoxy)acetoxy)acetic acid;Diacetic Aceclofenac;Aceclofenac Imp. H (EP); 2-[(2,6-Dichlorophenyl)amino]benzeneacetic Acid 2-[2-(Carboxymethoxy)-2-oxoethoxy]-2-oxoethyl Ester; Aceclofenac EP Impurity H
- Description
2-(2-(2-(2-(2-((2,6-dichlorophenyl)amino)phenyl)acetoxy)acetoxy)acetoxy)acetic acid;Diacetic Aceclofenac;Aceclofenac Imp. H (EP); 2-[(2,6-Dichlorophenyl)amino]benzeneacetic Acid 2-[2-(Carboxymethoxy)-2-oxoethoxy]-2-oxoethyl Ester; Aceclofenac EP Impurity H
Aceclofenac EP Impurity H is a fully characterized chemical compound used as a reference standard of API Aceclofenac. The standard offered is compliant with regulatory guidelines. Aceclofenac EP Impurity H is used for analytical method development, method validation (AMV), and Quality Controlled (QC) applications during synthesis and formulation stages of drug development and serves as a reference standard for traceability against pharmacopeial standards (USP or EP). Axios Research products are intended for analytical purposes only and are not for human use. CAS - 1216495-92-9