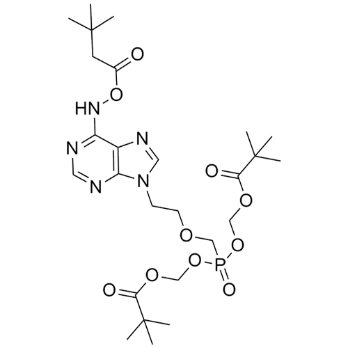
- Synonyms((((2-(6-((hydroxymethyl)amino)-9H-purin-9-yl)ethoxy)methyl)phosphoryl)bis(oxy))bis(methylene) bis(2,2-dimethylpropanoate)
- Description
((((2-(6-((hydroxymethyl)amino)-9H-purin-9-yl)ethoxy)methyl)phosphoryl)bis(oxy))bis(methylene) bis(2,2-dimethylpropanoate)
Adefovir Dipivoxyl Impurity I (Adefovir Dipivoxyl N6-Hydroxymethyl Impurity) is a fully characterized chemical compound used as a reference standard of API Adefovir. The standard offered is compliant with regulatory guidelines. Adefovir Dipivoxyl Impurity I (Adefovir Dipivoxyl N6-Hydroxymethyl Impurity) is used for analytical method development, method validation (AMV), and Quality Controlled (QC) applications during synthesis and formulation stages of drug development and serves as a reference standard for traceability against pharmacopeial standards (USP or EP). Axios Research products are intended for analytical purposes only and are not for human use. CAS -
Related products
Adefovir Dipivoxil Impurity 10 (Mono-POM Methyl Adefovir)
M.F.
M.W. 401.36
CAT# AR-A01435
CAS# 1875153-79-9