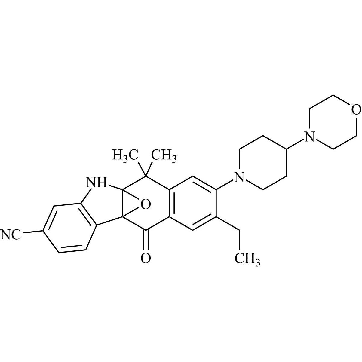
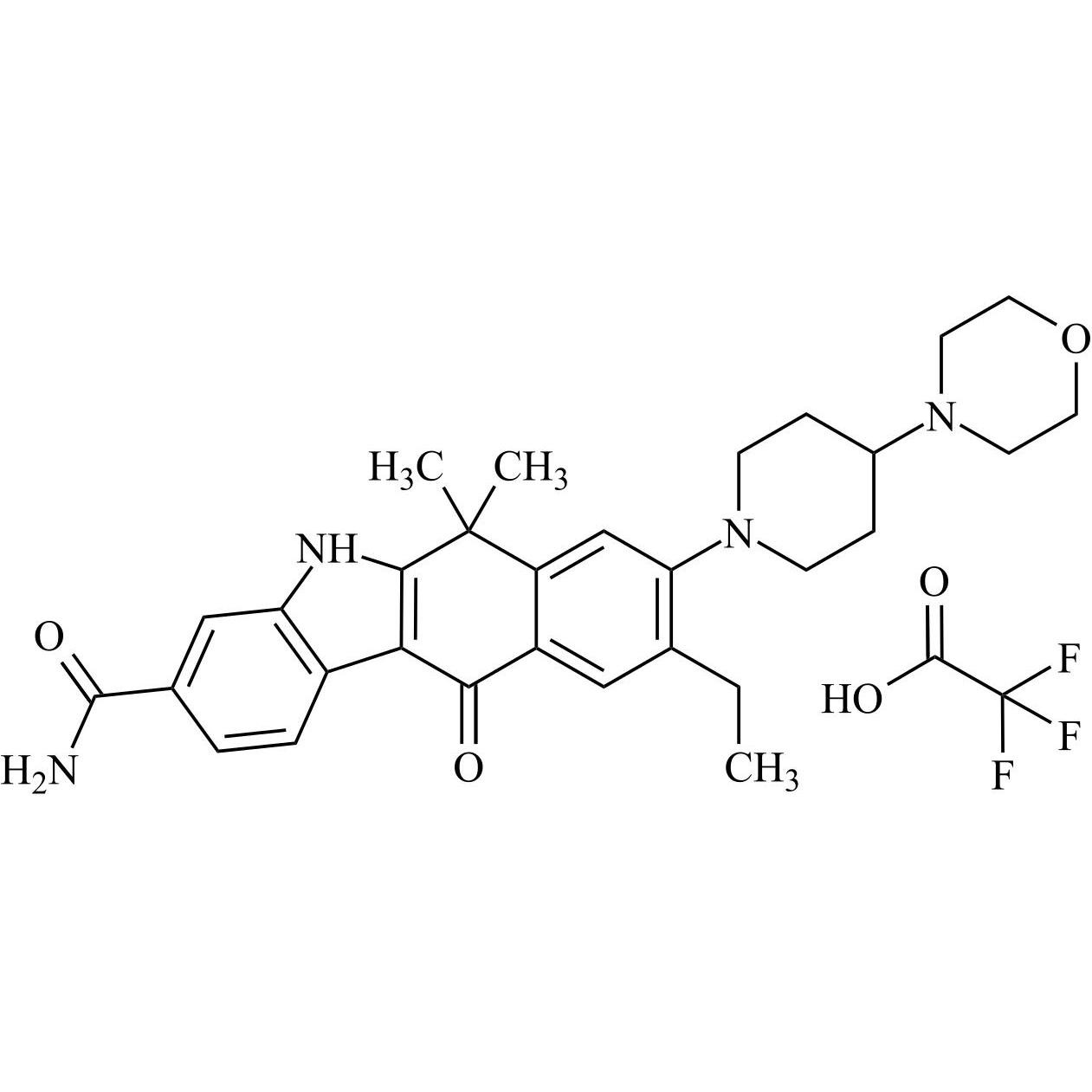
- Synonyms9-ethyl-6,6-dimethyl-8-(4-morpholinopiperidin-1-yl)-11-oxo-6,11-dihydro-5H-benzo[b]carbazole-3-carbonitrile-D5
- Description
9-ethyl-6,6-dimethyl-8-(4-morpholinopiperidin-1-yl)-11-oxo-6,11-dihydro-5H-benzo[b]carbazole-3-carbonitrile-D5
Alectinib-d5 is a fully  characterized chemical compound used as a reference standard of API Alectinib. The standard offered is compliant with regulatory guidelines. Alectinib-d5 is used for analytical method development, method validation (AMV), and Quality Controlled (QC) applications during synthesis and formulation stages of drug development and serves as a reference standard for traceability against pharmacopeial standards (USP or EP). Axios Research products are intended for analytical purposes only and are not for human use. CAS - 1256580-46-7 (non-labelled)
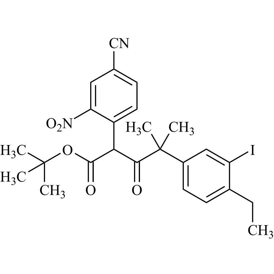
Related products
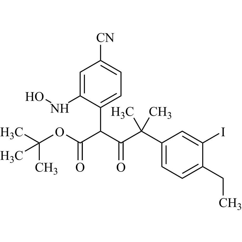
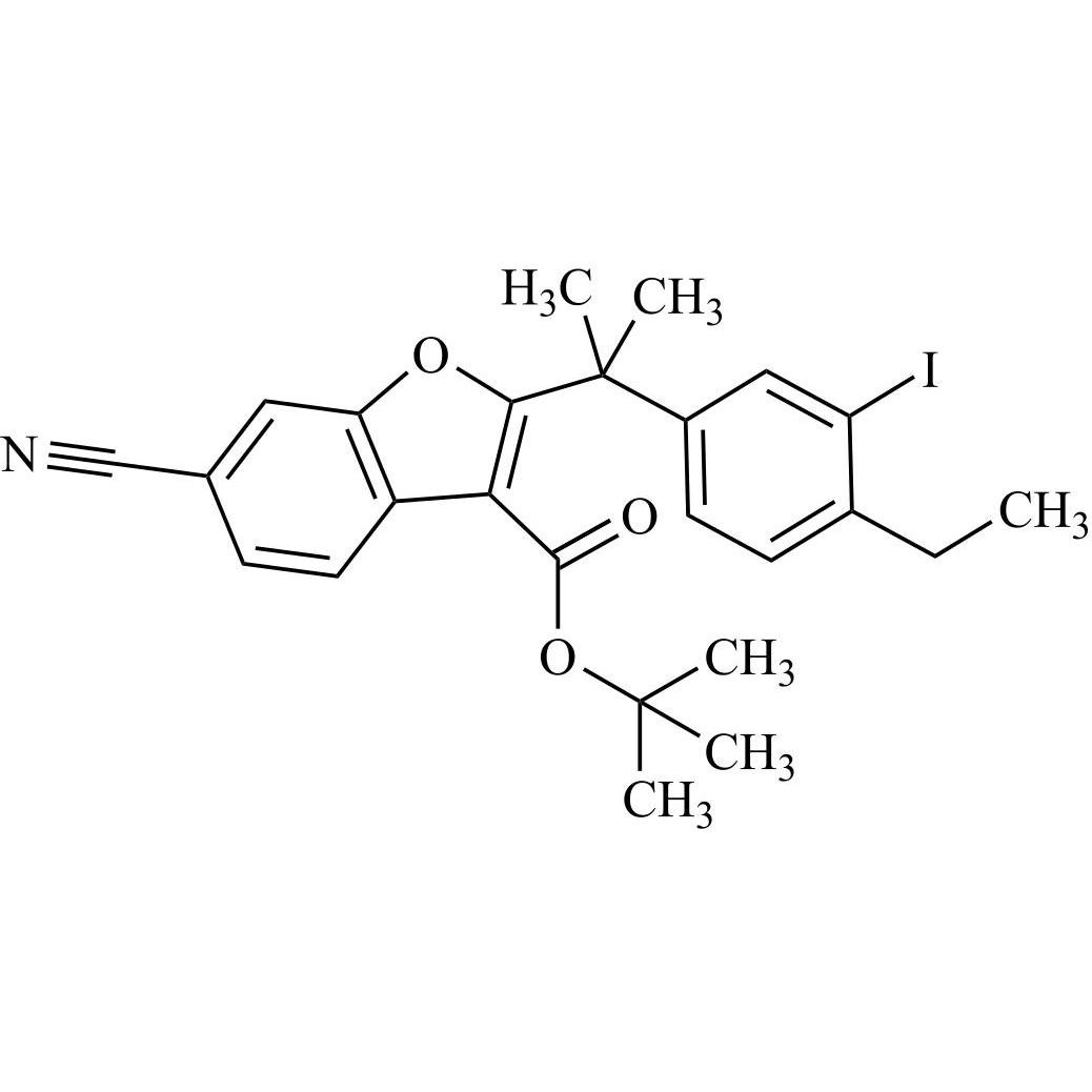
Alectinib acid tert-butyl ester Intermediate
 
			
    M.F.
M.W. 556.8 : 36.5
CAT# AR-A08059
CAS# 1256584-77-6
 
 
             
			 
			 
			 
			 
			 
			 
			 
			 
			 
			 
			 
			 
			 
			 
			 
			 
			 
			 
			 
			 
			 
			 
			 
			 
			 
			