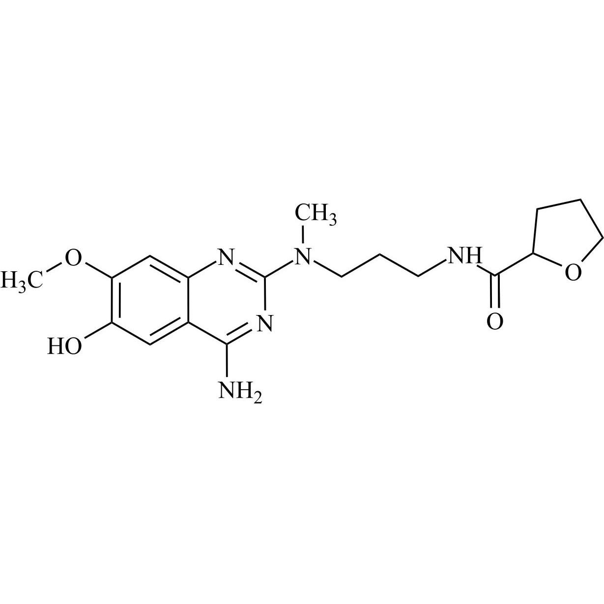
N-(3-((4-amino-6,7-dimethoxyquinazolin-2-yl)amino)propyl)-N-methyltetrahydrofuran-2-carboxamide;(+/-)-N-(3-((4-Amino-6,7-dimethoxyquinazolin-2-yl)amino)propyl)-N-methyltetrahydrofuran-2-carboxamide;(2RS)-N-(3-((4-Amino-6,7-dimethoxyquinazolin-2-yl)amino)propyl)-N-methyltetrahydrofuran-2-carboxamide;2-Furancarboxamide, N-(3-((4-amino-6,7-dimethoxy-2-quinazolinyl)amino)propyl)tetrahydro-N-methyl-
Alfuzosin EP Impurity C is a fully characterized chemical compound used as a reference standard of API Alfuzosin. The standard offered is compliant with regulatory guidelines. Alfuzosin EP Impurity C is used for analytical method development, method validation (AMV), and Quality Controlled (QC) applications during synthesis and formulation stages of drug development and serves as a reference standard for traceability against pharmacopeial standards (USP or EP). Axios Research products are intended for analytical purposes only and are not for human use. CAS - 98902-34-2