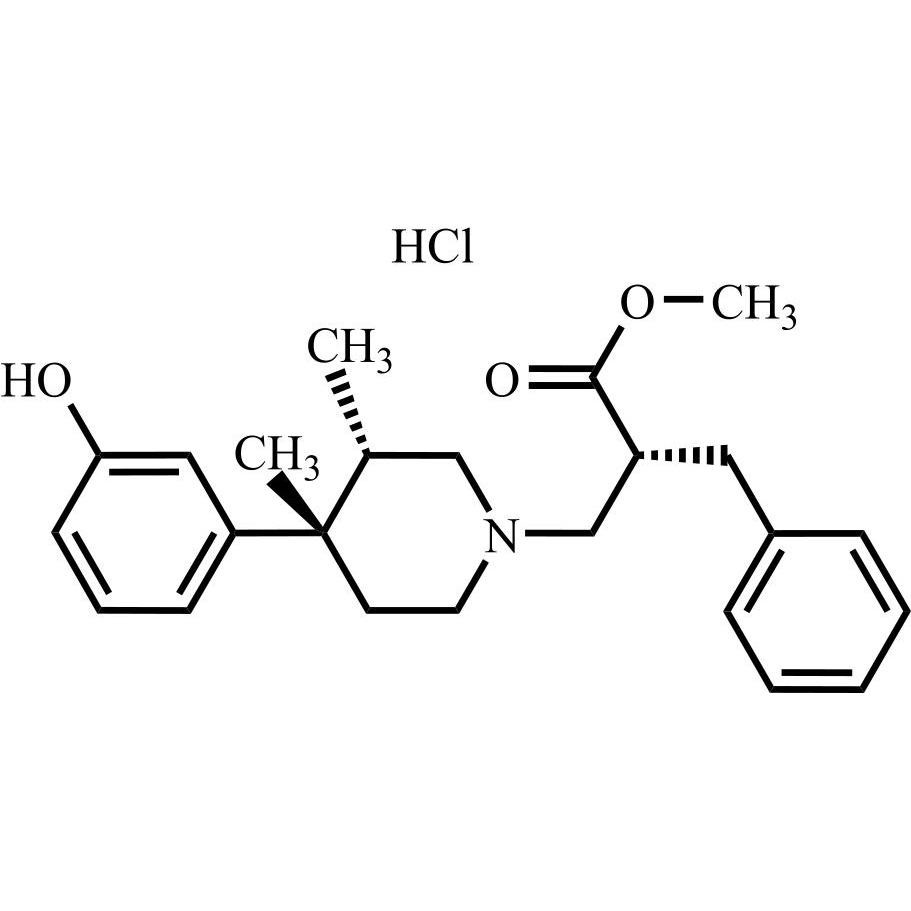
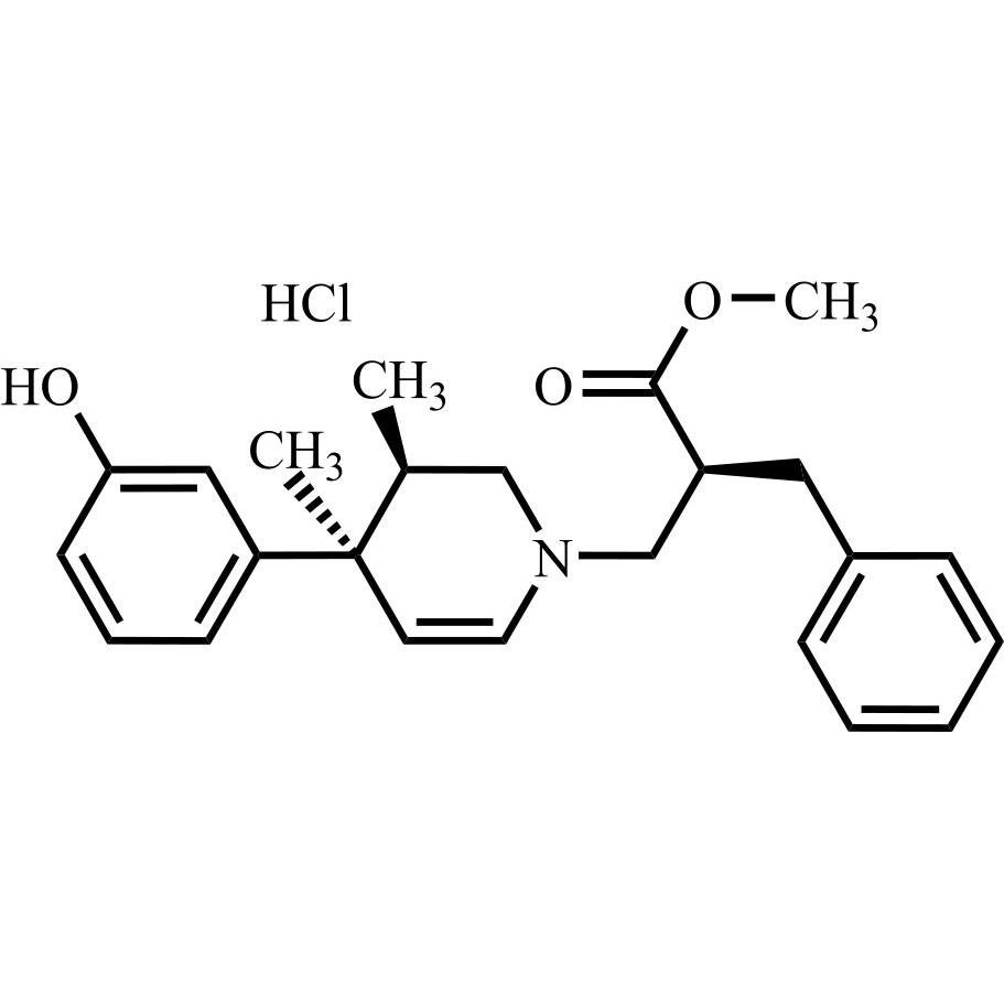
- Synonyms(2S)-2-benzyl-3-((3R,4R)-4-(3-hydroxyphenyl)-3,4-dimethylpiperidin-1-ium-1-yl)propanoate
- Description
(2S)-2-benzyl-3-((3R,4R)-4-(3-hydroxyphenyl)-3,4-dimethylpiperidin-1-ium-1-yl)propanoate
Alvimopan Metabolite is a fully characterized chemical compound used as a reference standard of API Alvimopan. The standard offered is compliant with regulatory guidelines. Alvimopan Metabolite is used for analytical method development, method validation (AMV), and Quality Controlled (QC) applications during synthesis and formulation stages of drug development and serves as a reference standard for traceability against pharmacopeial standards (USP or EP). Axios Research products are intended for analytical purposes only and are not for human use. CAS -
Related products
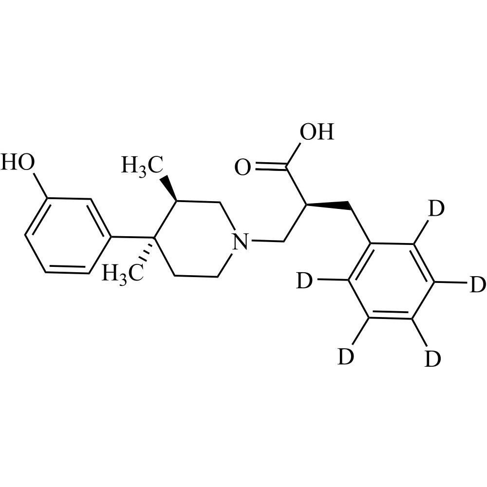
Alvimopan-d5 (Mixture of Diastereomers)
M.F.
M.W. 429.57
CAT# AR-A01799
CAS# 660848-76-0 (non-labelled)
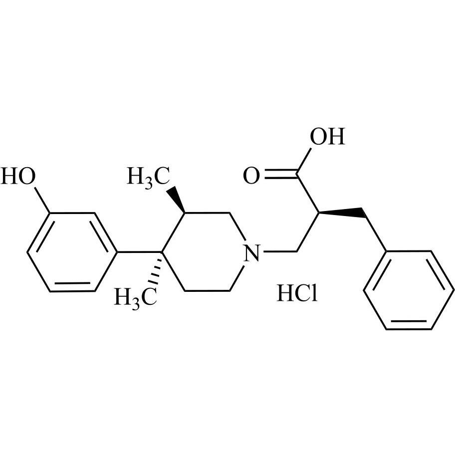
Alvimopan-d5 Metabolite HCl (Mixture of Diastereomers)
M.F.
M.W. 372.52 36.46
CAT# AR-A06076
CAS# NA