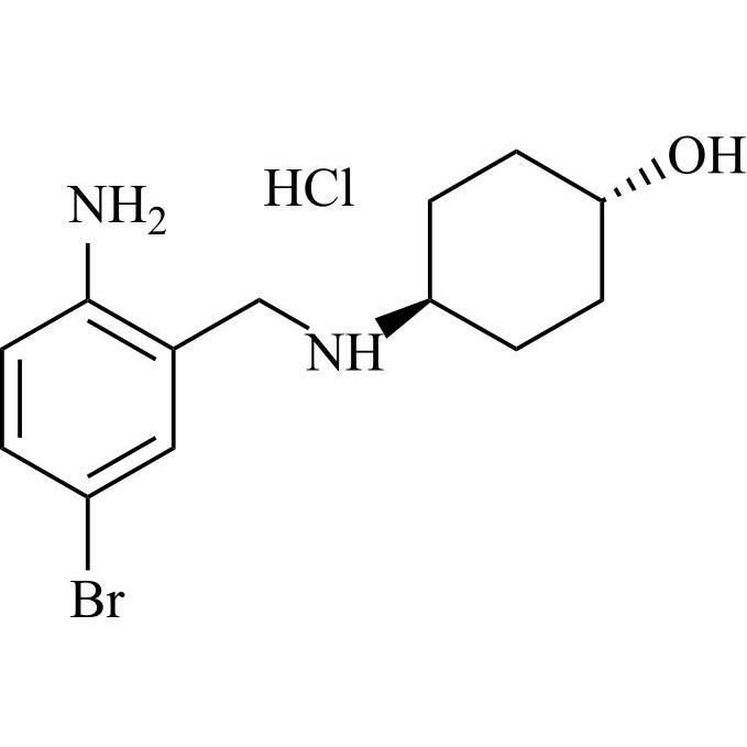
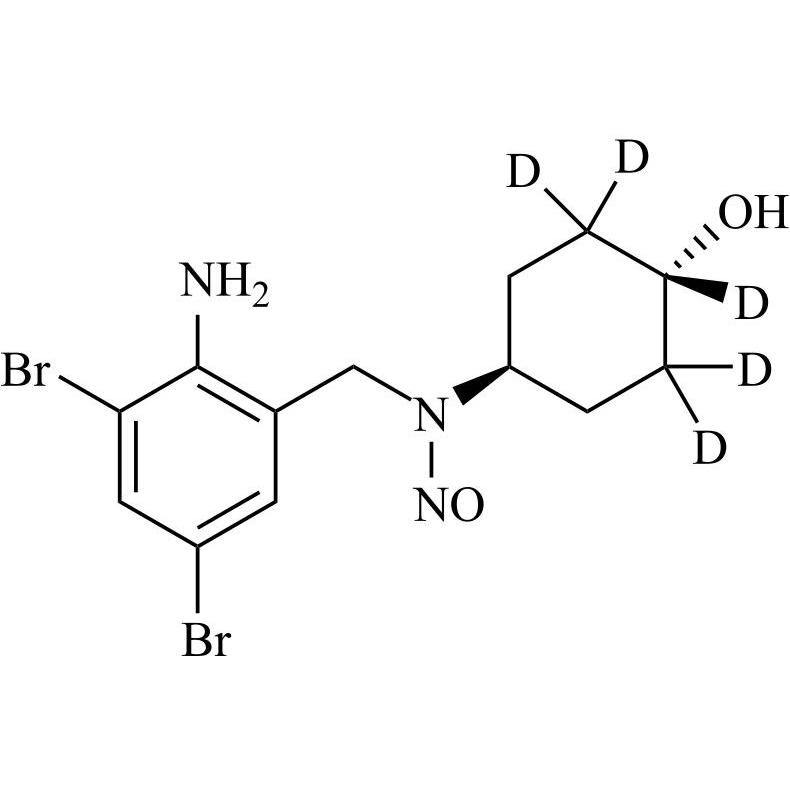
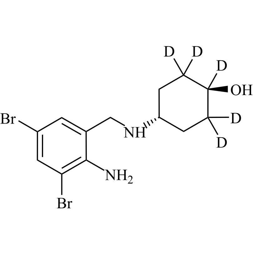
Trans-4-((2-amino-3,5-dibromobenzyl)amino)cyclohexanol-D5 HCl
Ambroxol-d5 HCl is a fully characterized chemical compound used as a reference standard of API Ambroxol. The standard offered is compliant with regulatory guidelines. Ambroxol-d5 HCl is used for analytical method development, method validation (AMV), and Quality Controlled (QC) applications during synthesis and formulation stages of drug development and serves as a reference standard for traceability against pharmacopeial standards (USP or EP). Axios Research products are intended for analytical purposes only and are not for human use. CAS - 1246818-80-3 (free base)
Related products
Ambroxol 2-hydroxypropanamide HCl Salt Impurity (racemic)
M.F.
M.W. 450.17:36.45
CAT# AR-A04888
CAS# NA
Ambroxol EP Impurity D HCl (cis-Ambroxol HCl)
M.F.
M.W. 378.11; 36.46
CAT# AR-A01850
CAS# 1384955-66-1