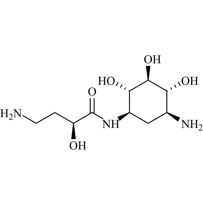
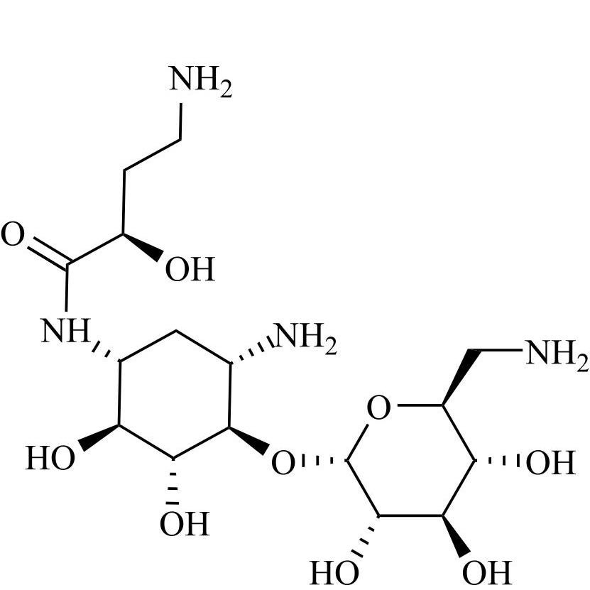
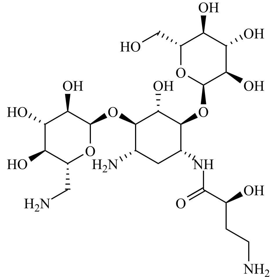
- Synonyms(R)-4-amino-N-((1R,2S,3S,4R,5S)-5-amino-2-(((2S,3R,4S,5S,6R)-4-amino-3,5-dihydroxy-6-(hydroxymethyl)tetrahydro-2H-pyran-2-yl)oxy)-4-(((2R,3R,4S,5S,6R)-6-(aminomethyl)-3,4,5-trihydroxytetrahydro-2H-pyran-2-yl)oxy)-3-hydroxycyclohexyl)-2-hydroxybutanamide; 6-O-(3-amino-3-deoxy-?-D-glucopyranosyl)-4...
- Description
(R)-4-amino-N-((1R,2S,3S,4R,5S)-5-amino-2-(((2S,3R,4S,5S,6R)-4-amino-3,5-dihydroxy-6-(hydroxymethyl)tetrahydro-2H-pyran-2-yl)oxy)-4-(((2R,3R,4S,5S,6R)-6-(aminomethyl)-3,4,5-trihydroxytetrahydro-2H-pyran-2-yl)oxy)-3-hydroxycyclohexyl)-2-hydroxybutanamide; 6-O-(3-amino-3-deoxy-?-D-glucopyranosyl)-4-O-(6-amino-6-deoxy-?-D-glucopyranosyl)-1-N-[(2R)-4-amino-2hydroxybutanoyl]-2-deoxy-D-streptamine
Amikacin EP Impurity G is a fully characterized chemical compound used as a reference standard of API Amikacin. The standard offered is compliant with regulatory guidelines. Amikacin EP Impurity G is used for analytical method development, method validation (AMV), and Quality Controlled (QC) applications during synthesis and formulation stages of drug development and serves as a reference standard for traceability against pharmacopeial standards (USP or EP). Axios Research products are intended for analytical purposes only and are not for human use. CAS - 50896-99-6
Related products
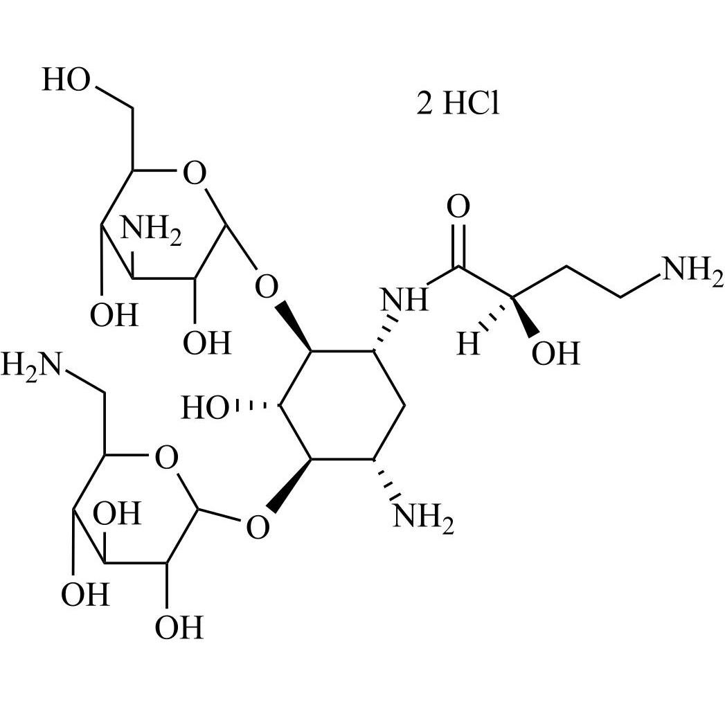
Amikacin Impurity 2 TetraHCl (1,3''-Di-HABA Kanamycin A TetraHCl)
M.F.
M.W. 686.71 4*36.46
CAT# AR-A06168
CAS# NA