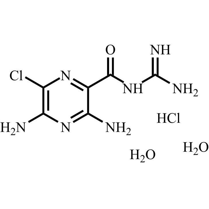
methyl 3,5-diamino-6-chloropyrazine-2-carboxylate; Methyl 3,5-Diamino-6-chloropyrazinecarboxylate; 3,5-Diamino-6-chloro-2-pyrazinecarboxylic Acid Methyl Ester; USP Amiloride Related Compound A; Amiloride USP Related Compound A
Amiloride EP Impurity A is a fully characterized chemical compound used as a reference standard of API Amiloride. The standard offered is compliant with regulatory guidelines. Amiloride EP Impurity A is used for analytical method development, method validation (AMV), and Quality Controlled (QC) applications during synthesis and formulation stages of drug development and serves as a reference standard for traceability against pharmacopeial standards (USP or EP). Axios Research products are intended for analytical purposes only and are not for human use. CAS - 1458-01-1