- Synonyms(2-butylbenzofuran-3-yl)(4-hydroxy-3-iodophenyl)methanone; De(diethylaminoethyl-5-iodo) Amiodarone; (2-Butyl-3-benzofuranyl)(4-hydroxy-3-iodophenyl)methanone; L 6424; Amiodarone EP Impurity F ; Amiodarone USP Related Compound F
- Description
(2-butylbenzofuran-3-yl)(4-hydroxy-3-iodophenyl)methanone; De(diethylaminoethyl-5-iodo) Amiodarone; (2-Butyl-3-benzofuranyl)(4-hydroxy-3-iodophenyl)methanone; L 6424; Amiodarone EP Impurity F ; Amiodarone USP Related Compound F
Amiodarone EP Impurity F is a fully characterized chemical compound used as a reference standard of API Amiodarone. The standard offered is compliant with regulatory guidelines. Amiodarone EP Impurity F is used for analytical method development, method validation (AMV), and Quality Controlled (QC) applications during synthesis and formulation stages of drug development and serves as a reference standard for traceability against pharmacopeial standards (USP or EP). Axios Research products are intended for analytical purposes only and are not for human use. CAS - 147030-50-0
Related products
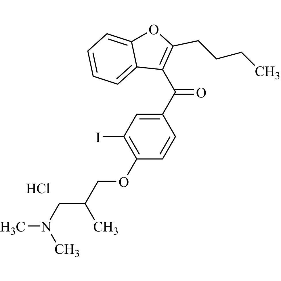
Amiodarone EP Impurity C HCl (Deiodo Impurity)
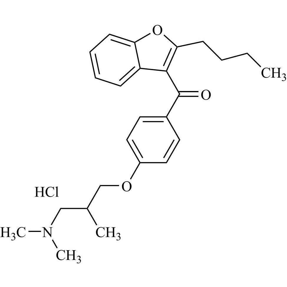
M.F.
M.W. 519.42; 36.46
CAT# AR-A01940
CAS# 1397201-93-2
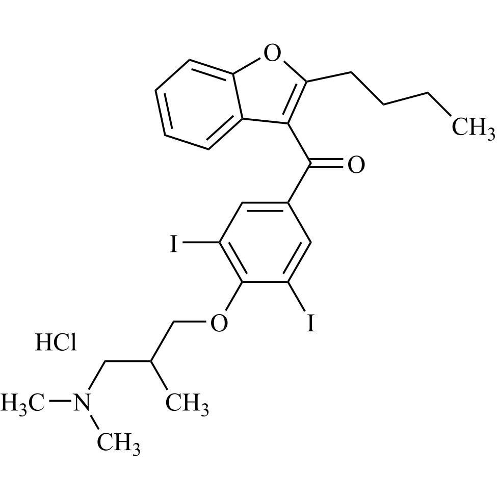
Des-O-[2-(diethylamino)ethyl]-1-methoxy Amiodarone
M.F.
M.W. 576.17
CAT# AR-A06279
CAS# 1391054-75-3