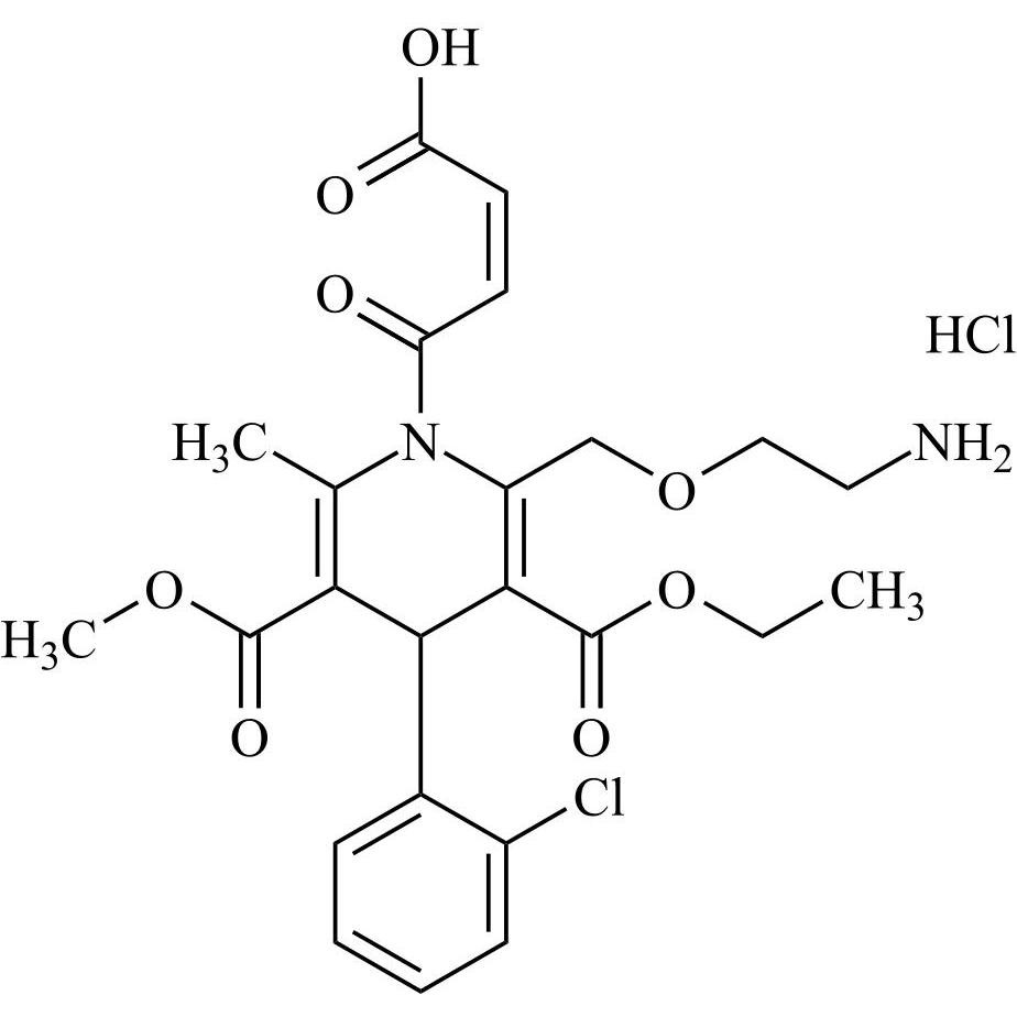
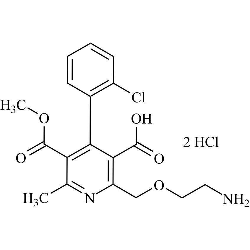
- Synonyms4-(2-Chlorophenyl)-1,4-dihydro-2-methyl-6-[[2-[[2-[(methylamino)carbonyl]benzoyl]amino]ethoxy]methyl]-5-pyridinedicarboxylic Acid 5-Ethyl 3-Methyl Ester; 3-Ethyl 5-Methyl(4RS)-4-(2-Chlorophenyl)-6-methyl-2-[[2-[[2-(methylcarbamoyl)benzoyl]amino]ethoxy]methyl]-1,4-dihydropyridine-3,5-dicarboxylate...
- Description
4-(2-Chlorophenyl)-1,4-dihydro-2-methyl-6-[[2-[[2-[(methylamino)carbonyl]benzoyl]amino]ethoxy]methyl]-5-pyridinedicarboxylic Acid 5-Ethyl 3-Methyl Ester; 3-Ethyl 5-Methyl(4RS)-4-(2-Chlorophenyl)-6-methyl-2-[[2-[[2-(methylcarbamoyl)benzoyl]amino]ethoxy]methyl]-1,4-dihydropyridine-3,5-dicarboxylate; 4-(2-chlorophenyl)-1,4-dihydro-2-methyl-6-[[2-[[2-[(methylamino)carbonyl]benzoyl]amino]ethoxy]methyl]-5-ethyl 3-methyl ester-3,5-Pyridinedicarboxylic acid
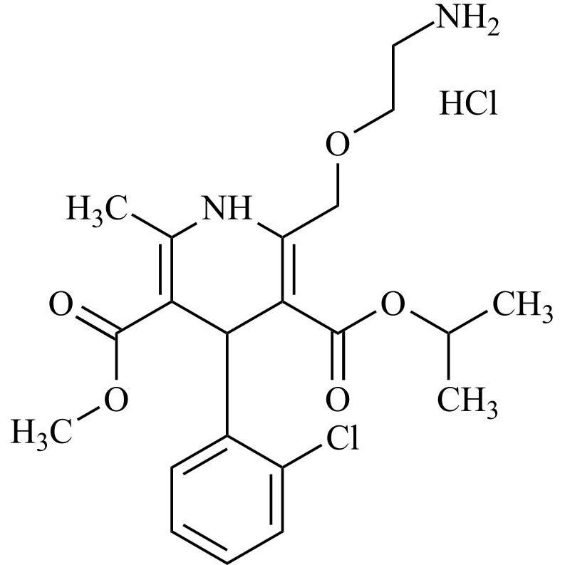
Amlodipine EP Impurity B (Methylaminophthaloyl Amlodipine) is a fully characterized chemical compound used as a reference standard of API Amlodipine. The standard offered is compliant with regulatory guidelines. Amlodipine EP Impurity B (Methylaminophthaloyl Amlodipine) is used for analytical method development, method validation (AMV), and Quality Controlled (QC) applications during synthesis and formulation stages of drug development and serves as a reference standard for traceability against pharmacopeial standards (USP or EP). Axios Research products are intended for analytical purposes only and are not for human use. CAS - 721958-72-1
Related products
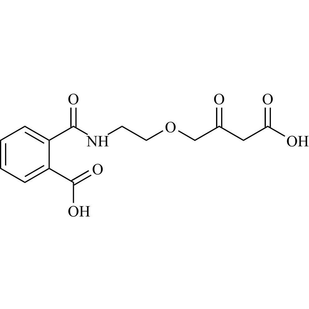
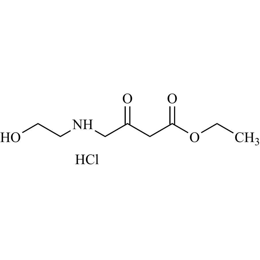
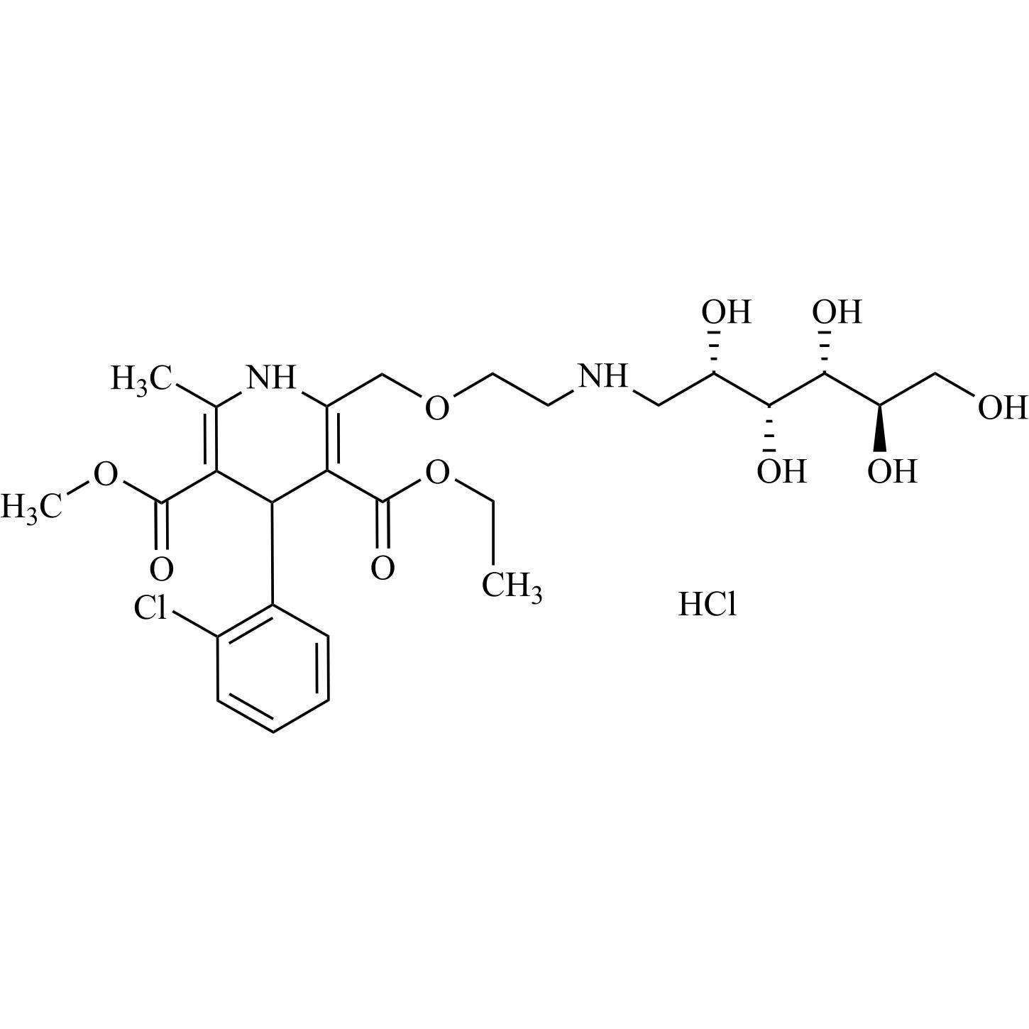
Amlodipine Impurity ( N-(2-hydroxyethyl)-phthalamic acid )
M.F.
M.W. 209.2
CAT# AR-A02004
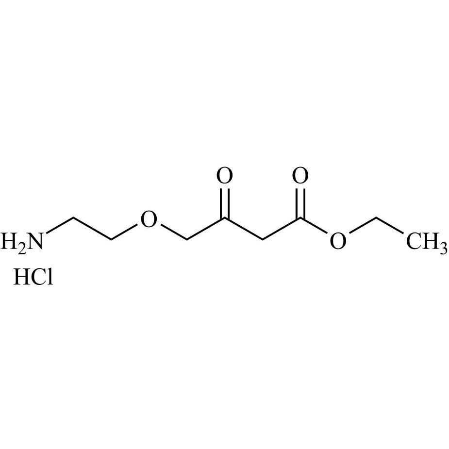
CAS# 58509-24-3
Amlodipine Impurity 27 Disodium Salt
M.F.
M.W. 407.81 2 22.99
CAT# AR-A02034
CAS# 120289-11-4 (free Acid)
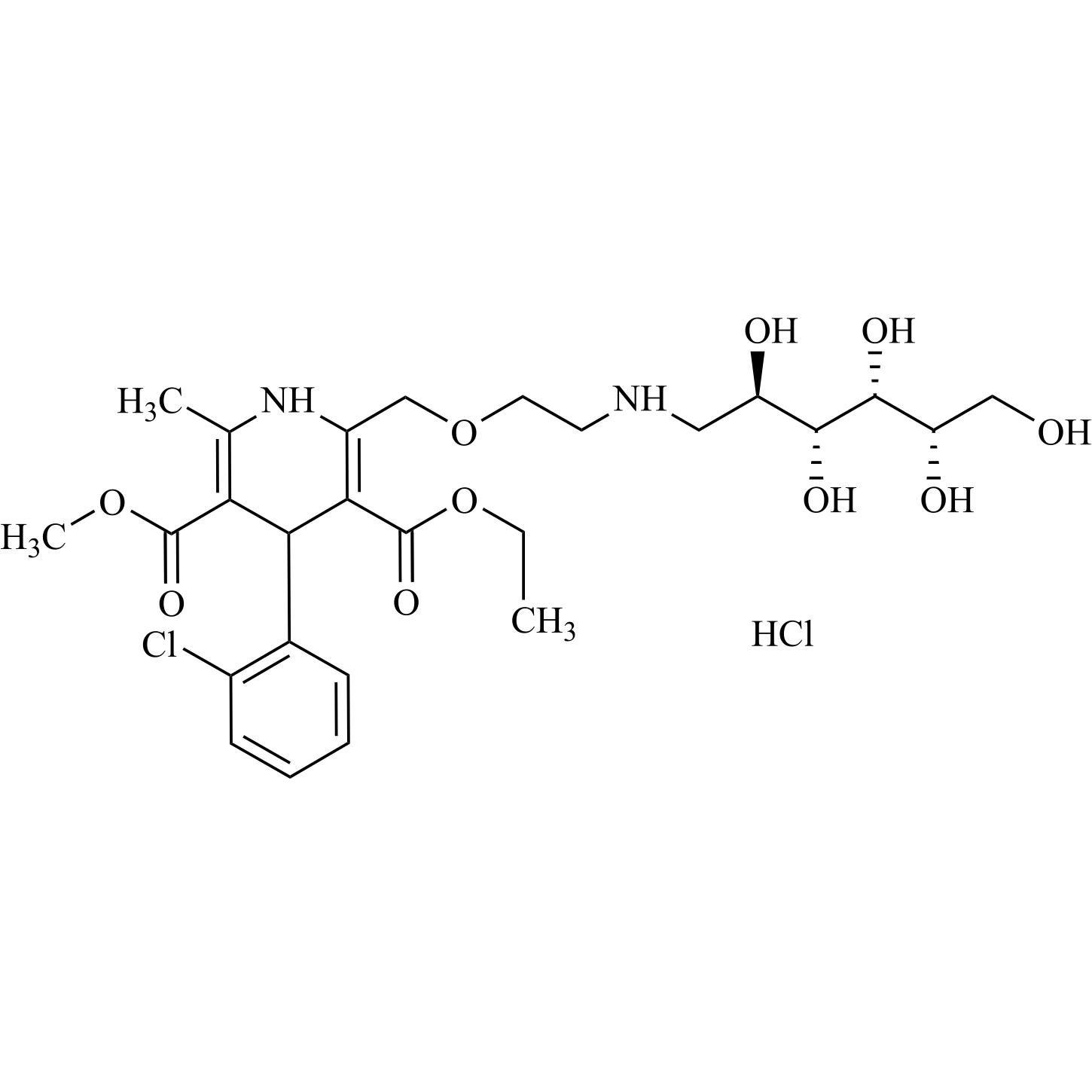
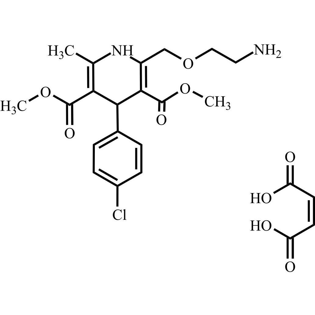
3-Desethyl-3-(2-phthalimidoethyl) Phthaloyl Amlodipine
M.F.
M.W. 684.09
CAT# AR-A04630
CAS# 2923811-72-5
(S)-Amlodipine Besylate Hemipentahydrate
M.F.
M.W. 408.9:158.2:5/2(18.0)
CAT# AR-A04681
CAS# 884648-62-8
Amlodipine Diethyl Ester (Amlodipine EP Impurity E)
M.F.
M.W. 422.91
CAT# AR-A03251
CAS# 140171-65-9
Amlodipine EP Impurity D Besylate (Amlodipine USP Related Compound A Besylate, Dehydro Amlodipine Besylate)
M.F.
M.W. 406.86 158.17
CAT# AR-A06387
CAS# NA
Amlodipine EP Impurity D HCl (Amlodipine USP Related Compound A HCl, Dehydro Amlodipine HCl)
M.F.
M.W. 406.86 36.46
CAT# AR-A06377
CAS# 2414962-06-2
Amlodipine EP Impurity F-d4 Maleate (Amlodipine USP Related Compound F-d4)
M.F.
M.W. 398.88 116.07
CAT# AR-A06380
CAS# NA