- Synonyms(S)-6-((R)-2-amino-2-phenylacetamido)-2,2-dimethyl-7-oxo-2,3,4,7-tetrahydro-1,4-thiazepine-3-carboxylic acid
- Description
(S)-6-((R)-2-amino-2-phenylacetamido)-2,2-dimethyl-7-oxo-2,3,4,7-tetrahydro-1,4-thiazepine-3-carboxylic acid
Ampicillin EP Impurity N (Purity >90.0%) is a fully characterized chemical compound used as a reference standard of API Ampicillin. The standard offered is compliant with regulatory guidelines. Ampicillin EP Impurity N (Purity >90.0%) is used for analytical method development, method validation (AMV), and Quality Controlled (QC) applications during synthesis and formulation stages of drug development and serves as a reference standard for traceability against pharmacopeial standards (USP or EP). Axios Research products are intended for analytical purposes only and are not for human use. CAS - NA
Related products
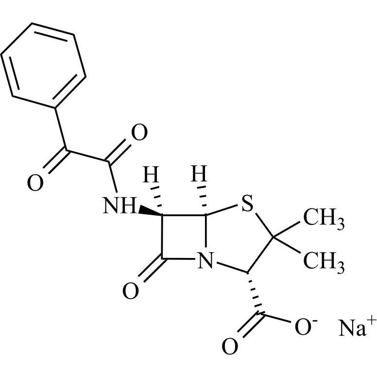
Ampicillin EP Impurity F Sodium Salt (Mixture of Diastereomers)
M.F.
M.W. 322.41 22.99
CAT# AR-A02116
CAS# NA
Ampicillin EP Impurity C (Ampicillin Diketopiperazine)
M.F.
M.W. 349.40
CAT# AR-A02113
CAS# 49841-96-5
Ampicillin EP Impurity D Disodium Salt (Mixture of Diastereomers)
M.F.
M.W. 365.41 2 22.99
CAT# AR-A02114
CAS# NA
Ampicillin EP Impurity F (Mixture of Diastereomers)
M.F.
M.W. 323.41
CAT# AR-A08064
CAS# 2197189-82-3 (relative stereochemistry)
Ampicillin EP Impurity M Disodium Salt (Ampicillin Dimer Disodium Salt)
M.F.
M.W. 696.81 2*22.99
CAT# AR-A06485
CAS# NA
Ampicillin EP Impurity M Trisodium Salt (Ampicillin Trimer Trisodium Salt)
M.F.
M.W. 1045.19 3*22.99
CAT# AR-A06486
CAS# NA
Ampicillin EP Impurity D Disodium Salt (Mixture of Diastereomers)
M.F.
M.W. 365.41 2*22.99
CAT# AR-A06494
CAS# NA