- Synonyms7,7'-(butane-1,4-diylbis(oxy))bis(3,4-dihydroquinolin-2(1H)-one);7,7'-[1,4-Butanediylbis(oxy)]bis[3,4-dihydro-2(1H)-quinolinone; Aripiprazole Diquinoline Butanediol Impurity (USP); 1,4-Bis[3,4-dihydro-2(1H)-quinolinon-7-oxy]butane; 7,7'-[1,4-Butanediylbis(oxy)]bis[3,4-dihydro-2(1H)-quinolinone; A...
- Description
Related products
7-(but-3-en-1-yloxy)-3,4-dihydroquinolin-2(1H)-one
M.F.
M.W. 217.27
CAT# AR-A02520
CAS# 1359829-23-4
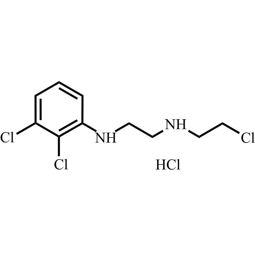
Aripiprazole Related Compound (OPC 14714) HCl
M.F.
M.W. 458.40 36.46
CAT# AR-A02524
CAS# 203395-84-0 (free base)
1-[4-[4-(2,3-Dichlorophenyl)piperazin-1-yl]butyl-7-OH Carbostyril
M.F.
M.W. 448.4
CAT# AR-A02527
CAS# 1797983-65-3
1-(but-3-en-1-yl)-4-(2,3-dichlorophenyl)piperazine
M.F.
M.W. 285.22
CAT# AR-A02532
CAS# 1424857-93-1
8-(2,3-dichlorophenyl)-5,8-diazaspiro[4.5]decan-5-ium bromide
M.F.
M.W. 286.23 79.90
CAT# AR-A02543
CAS# 795313-24-5
Aripiprazole EP Impurity B HCl (Cariprazine Dichloro piperazine impurity)
M.F.
M.W. 231.12; 36.46
CAT# AR-A02517
CAS# 119532-26-2
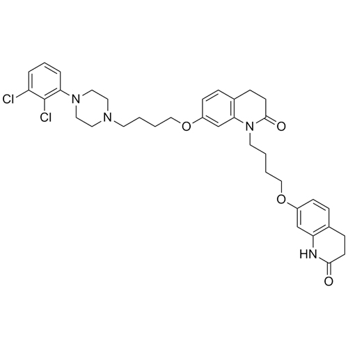
Aripiprazole EP Impurity G (Aripiprazole Dimer Impurity)
M.F.
M.W. 922.81
CAT# AR-A02529
CAS# 1797986-18-5
N-Nitroso Aripiprazole EP Impurity B (N-Nitroso Aripiprazole USP Related Compound C (Free Form))
M.F.
M.W. 260.12
CAT# AR-A07104
CAS# 2989508-28-1
Aripiprazole EP Impurity B-d8 HCl (Aripiprazole USP Related Compound C-d8)
M.F.
M.W. 239.17 36.46
CAT# AR-A07098
CAS# NA
N-Nitroso Aripiprazole EP Impurity B-d8 (N-Nitroso Aripiprazole USP Related Compound C-d8 (Free Form))
M.F.
M.W. 268.17
CAT# AR-A07099
CAS# NA