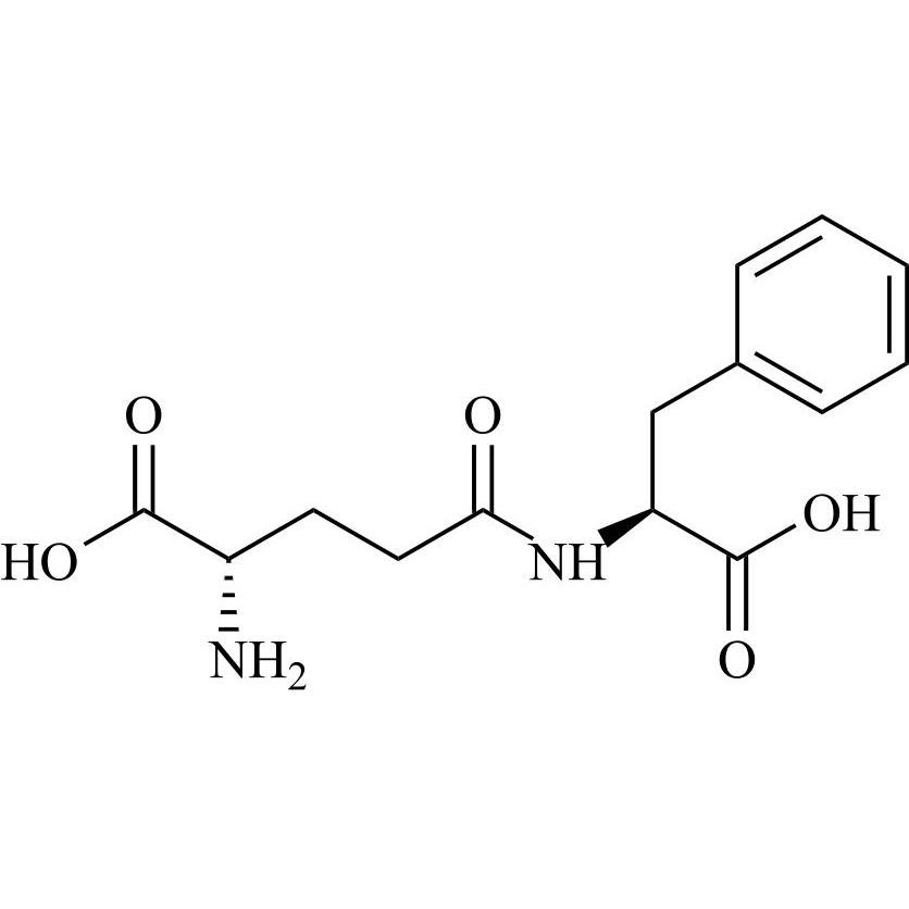
(S)-3-amino-4-(((S)-1-carboxy-2-phenylethyl)amino)-4-oxobutanoic acid; ASP-PHE;Asp-Phe-OH;Asp-Phe;H-ASP-PHE-OH;ASPARTAME ACID;L-Asp-L-Phe-OH;L-?Asp-L-Phe-OH;ALPHA-L-ASP-PHE;N-?Asp-L-Phe-OH;DeMethylaspartaMe;ThiaMine IMpurity B;AspartaMe IMpurity B;aspartyl-phenylalanine;Aspartame EP Impurity B;GASTRIN 16-17 DEAMINATED;L-ASPARTYL-L-PHENYLALANINE;N-(?-Aspartyl)-L-phenylalanine;N-L-?-Aspartyl-L-phenylalanine;L-Aspartyl-L-phenylalanine;L-ASPARTIC ACID-L-PHENYLALANINE;L-ALPHA-ASPARTYL-L-PHENYLALANINE;N-L-ALPHA-ASPARTYL-L-PHENYLALANINE;N-L-alpha-aspartyl-3-phenyl-L-alanine;L-Aspartyl-L-phenylalanine;L-Aspartyl-L-phenylalanine, Aspartame acid;(S)-3-aMino-4-((S)-1-carboxy-2-phenylethylaMino)-4-oxobutanoic acid;(3S)-3-amino-3-[[(1S)-1-carboxy-2-phenyl-ethyl]carbamoyl]propanoic acid
Aspartame EP Impurity B is a fully characterized chemical compound used as a reference standard of API Aspartame. The standard offered is compliant with regulatory guidelines. Aspartame EP Impurity B is used for analytical method development, method validation (AMV), and Quality Controlled (QC) applications during synthesis and formulation stages of drug development and serves as a reference standard for traceability against pharmacopeial standards (USP or EP). Axios Research products are intended for analytical purposes only and are not for human use. CAS - 13433-09-5