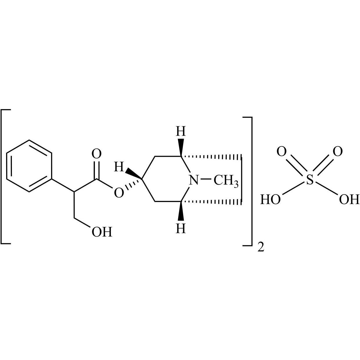
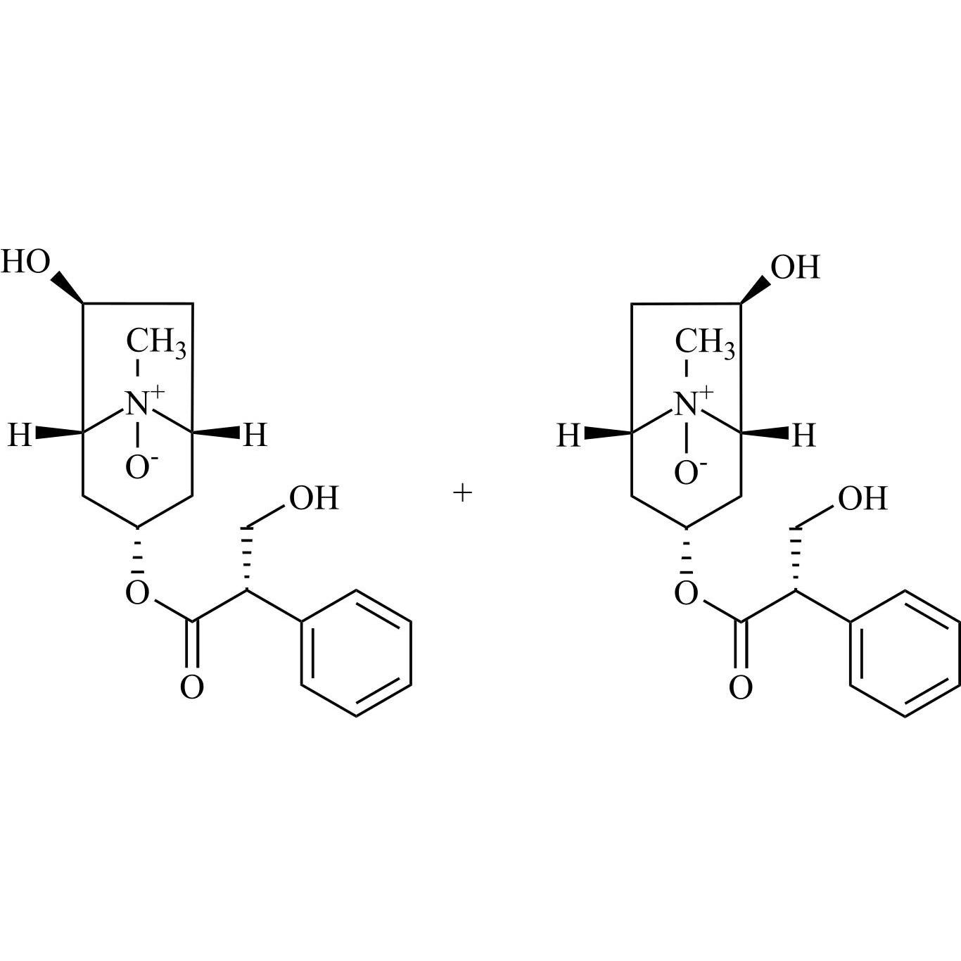
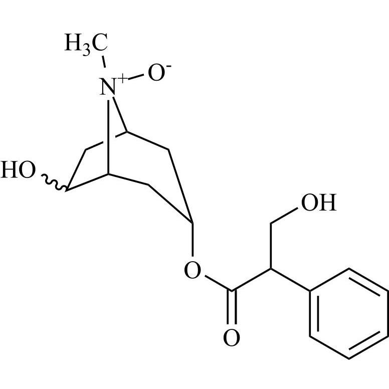
- Synonyms(Mixture of 6-beta-Hydroxyhyoscyamine and 7-beta-Hydroxyhyoscyamine); (S)-((1S,3R,5S,6S)-6-hydroxy-8-methyl-8-azabicyclo[3.2.1]octan-3-yl) 3-hydroxy-2-phenylpropanoate : (S)-((1R,3S,5R,6R)-6-hydroxy-8-methyl-8-azabicyclo[3.2.1]octan-3-yl) 3-hydroxy-2-phenylpropanoate
- Description
(Mixture of 6-beta-Hydroxyhyoscyamine and 7-beta-Hydroxyhyoscyamine); (S)-((1S,3R,5S,6S)-6-hydroxy-8-methyl-8-azabicyclo[3.2.1]octan-3-yl) 3-hydroxy-2-phenylpropanoate : (S)-((1R,3S,5R,6R)-6-hydroxy-8-methyl-8-azabicyclo[3.2.1]octan-3-yl) 3-hydroxy-2-phenylpropanoate
Atropine EP Impurity D and E is a fully characterized chemical compound used as a reference standard of API Atropine. The standard offered is compliant with regulatory guidelines. Atropine EP Impurity D and E is used for analytical method development, method validation (AMV), and Quality Controlled (QC) applications during synthesis and formulation stages of drug development and serves as a reference standard for traceability against pharmacopeial standards (USP or EP). Axios Research products are intended for analytical purposes only and are not for human use. CAS -
Related products
Hyoscyamine EP Impurity E (Hyoscyamine USP Related Compound A, Norhyoscyamine)
M.F.
M.W. 275.35
CAT# AR-A02945
CAS# 537-29-1
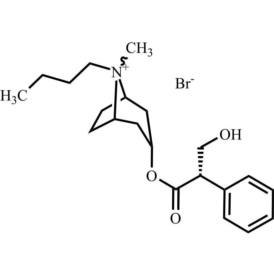
Homatropine Methylbromide EP Impurity E (Atropine Methylbromide)
M.F.
M.W. 304.41 79.90
CAT# AR-A02941
CAS# 2870-71-5
N-Nitroso Atropine EP Impurity B (N-Nitroso Noratropine, N-Nitroso rac-Hyoscyamine EP Impurity E, N-Nitroso rac-Norhyoscyamine)
M.F.
M.W. 304.35
CAT# AR-A07479
CAS# 55855-45-3