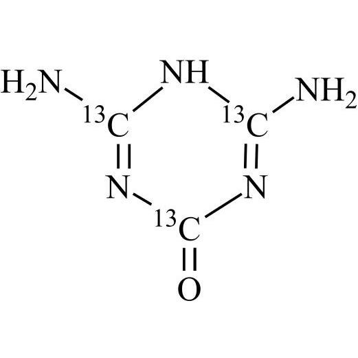
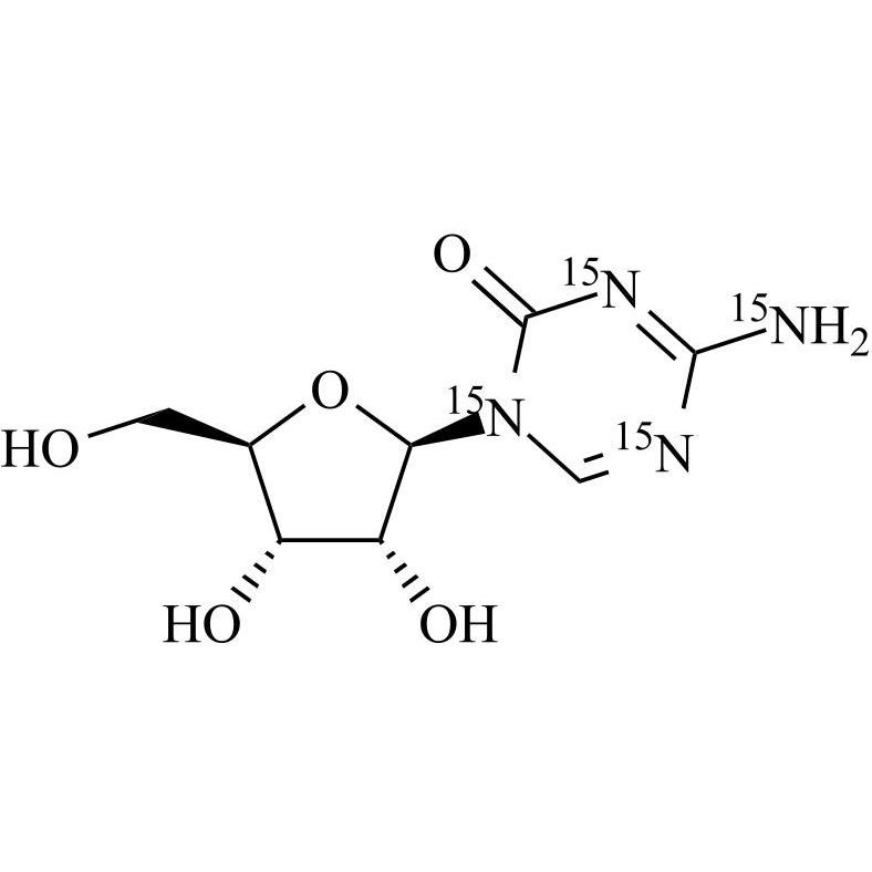
- Synonyms4-amino-1-(3,4-dihydroxy-5-(hydroxymethyl)tetrahydrofuran-2-yl)pyrimidin-2(1H)-one- 13C 15N 15N; 4-amino-1-((2R,3R,4S,5R)-3,4-dihydroxy-5-(hydroxymethyl)tetrahydrofuran-2-yl)-1,3,5-triazin-2(1H)-one-13C-15N3; 5-Azacytidine-13C-15N3; Azacitidine-13C-15N3; 4-Amino-1-?-D-ribofuranosyl-1,3,5-triazin-...
- Description
4-amino-1-(3,4-dihydroxy-5-(hydroxymethyl)tetrahydrofuran-2-yl)pyrimidin-2(1H)-one- 13C 15N 15N; 4-amino-1-((2R,3R,4S,5R)-3,4-dihydroxy-5-(hydroxymethyl)tetrahydrofuran-2-yl)-1,3,5-triazin-2(1H)-one-13C-15N3; 5-Azacytidine-13C-15N3; Azacitidine-13C-15N3; 4-Amino-1-?-D-ribofuranosyl-1,3,5-triazin-2(1H)-one-13C-15N3; 5-AC-13C-15N3; 5-AZC-13C-15N3; 5-AZCR-13C-15N3; 5-AzaC-13C-15N3; Antibiotic U 18496-13C-15N3; Azacytidine-13C-15N3; Ladakamycin-13C-15N3; Ledakamycin-13C-15N3; Mylosar-13C-15N3; NSC 102816-13C-15N3; NSC 103-627-13C-15N3; U 18496-13C-15N3; Vidaza-13C-15N3; WR 183027
Azacitidine-13C-15N3 is a fully  characterized chemical compound used as a reference standard of API Azacitidine. The standard offered is compliant with regulatory guidelines. Azacitidine-13C-15N3 is used for analytical method development, method validation (AMV), and Quality Controlled (QC) applications during synthesis and formulation stages of drug development and serves as a reference standard for traceability against pharmacopeial standards (USP or EP). Axios Research products are intended for analytical purposes only and are not for human use. CAS - 
Related products
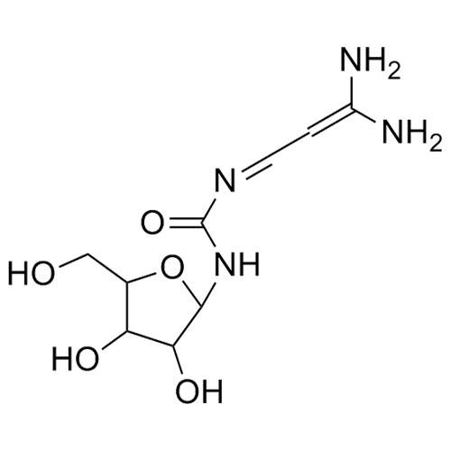
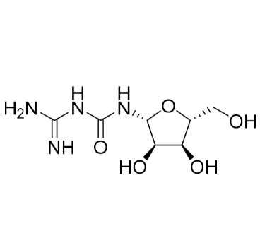
N-(Hydroxymethyl)-N-β-D-ribofuranosyldiazenecarboximidamide
 
			
    M.F.
M.W. 234.21
CAT# AR-A03061
CAS# 1698011-17-4
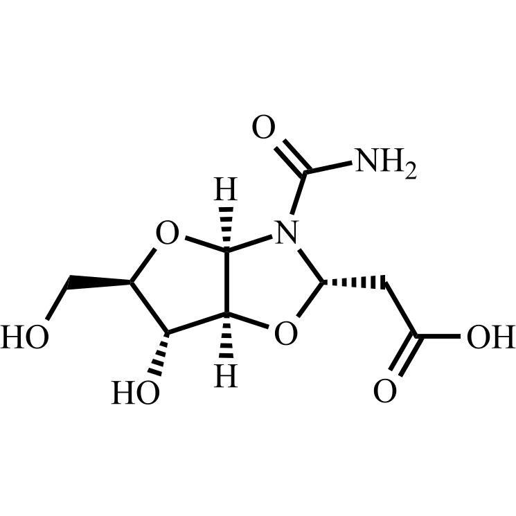
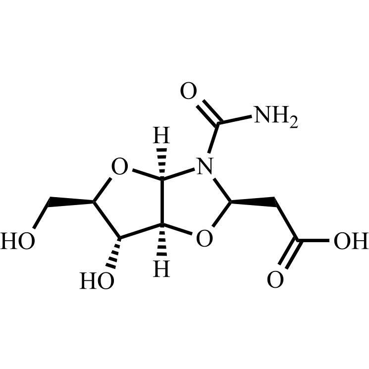
Azacitidine Impurity 52 Formate (Mixture of Diastereomers)
 
			
    M.F.
M.W. 360.32 46.03
CAT# AR-A07731
CAS# NA
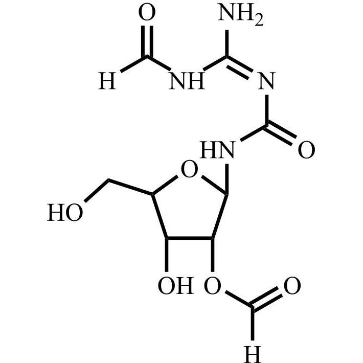
2-Deoxy-2-[[[(1,2,3,4-tetrahydro-2,4-dioxo-5-pyrimidinyl)amino]thioxomethyl]amino]-ß-D-glucopyranose
![Show details for 2-Deoxy-2-[[[(1,2,3,4-tetrahydro-2,4-dioxo-5-pyrimidinyl)amino]thioxomethyl]amino]-ß-D-glucopyranose Picture of 2-Deoxy-2-[[[(1,2,3,4-tetrahydro-2,4-dioxo-5-pyrimidinyl)amino]thioxomethyl]amino]-ß-D-glucopyranose](https://bc3c83a0874864a50753-7010fd7f2bdf81ab41ee28479491701e.ssl.cf2.rackcdn.com/media//catalog/AR-A07714.jpg?size=256) 
			
    M.F.
M.W. 348.33
CAT# AR-A07714
CAS# 357387-57-6
 
 
             
			 
			 
			 
			 
			 
			 
			 
			 
			 
			 
			 
			 
			 
			 
			 
			 
			 
			 
			 
			 
			 
			 
			 
			 
			 
			 
			 
			 
			 
			 
			 
			 
			 
			 
			 
			 
			 
			 
			 
			 
			 
			 
			 
			 
			 
			 
			 
			 
			 
			 
			 
			 
			 
			 
			 
			 
			 
			 
			