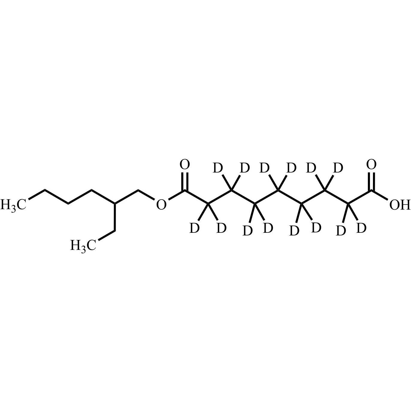
9-((2-ethylhexyl)oxy)-9-oxononanoic acid-D14
Azelaic Acid-d14 2-Ethylhexyl Monoester is a fully characterized chemical compound used as a reference standard of API Azelaic Acid. The standard offered is compliant with regulatory guidelines. Azelaic Acid-d14 2-Ethylhexyl Monoester is used for analytical method development, method validation (AMV), and Quality Controlled (QC) applications during synthesis and formulation stages of drug development and serves as a reference standard for traceability against pharmacopeial standards (USP or EP). Axios Research products are intended for analytical purposes only and are not for human use. CAS -