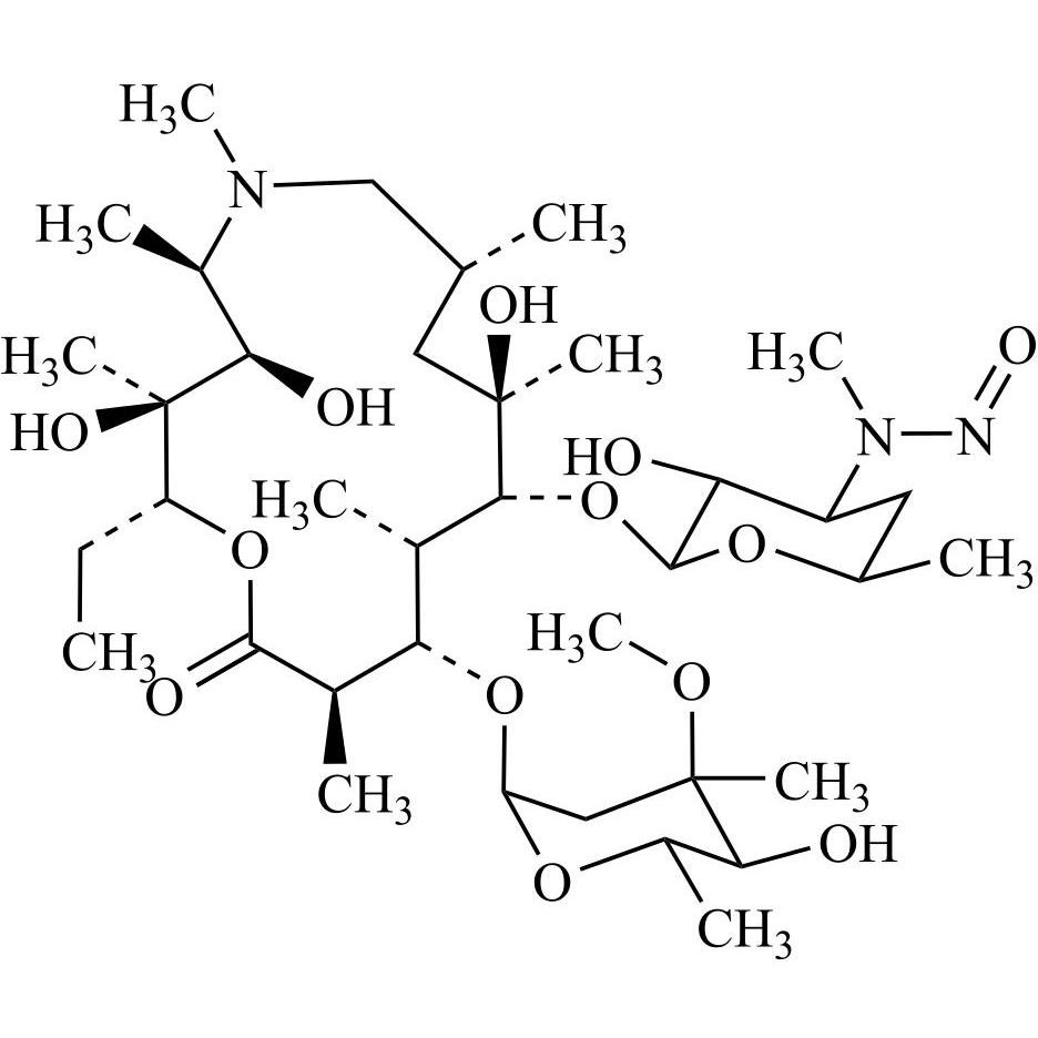
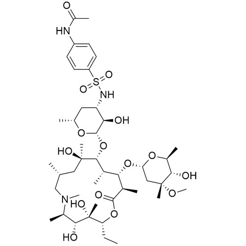
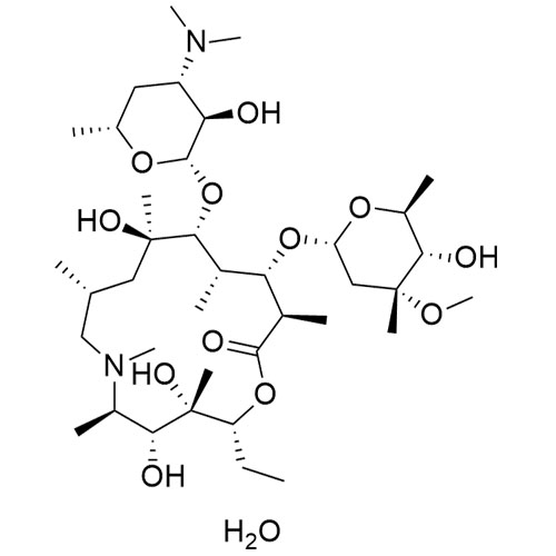
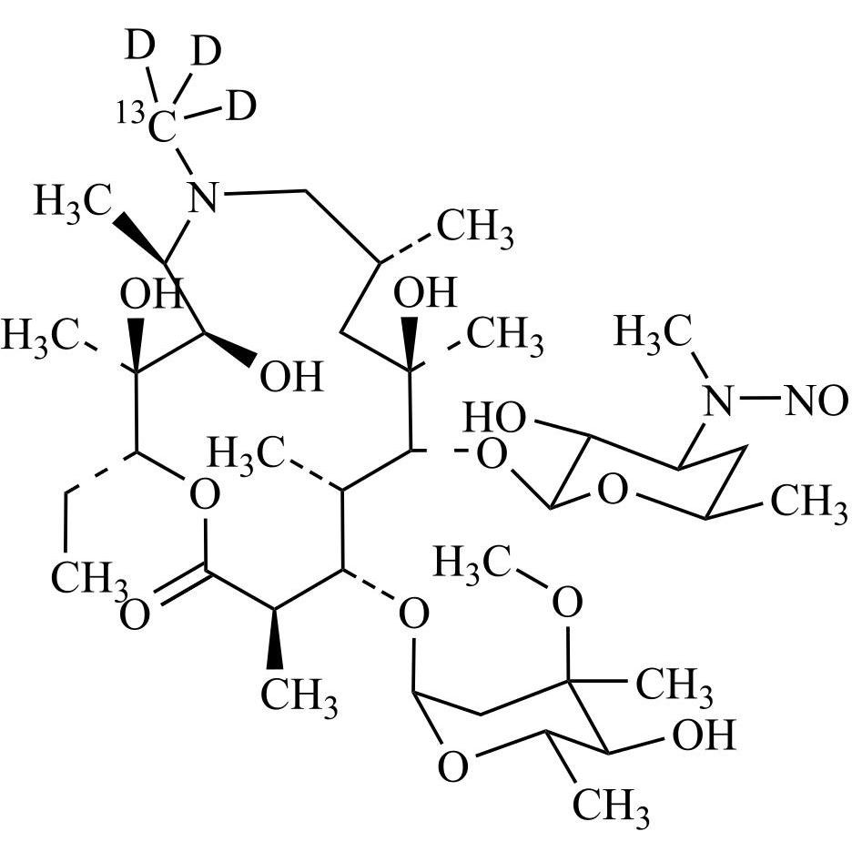
- SynonymsN-((2S,3R,4S,6R)-2-(((2R,3S,4R,5R,8R,10R,11R,12S,13S,14R)-2-ethyl-3,4,10-trihydroxy-13-(((2R,4R,5S,6S)-5-hydroxy-4-methoxy-4,6-dimethyltetrahydro-2H-pyran-2-yl)oxy)-3,5,6,8,10,12,14-heptamethyl-15-oxo-1-oxa-6-azacyclopentadecan-11-yl)oxy)-3-hydroxy-6-methyltetrahydro-2H-pyran-4-yl)-N-methylformam...
- Description
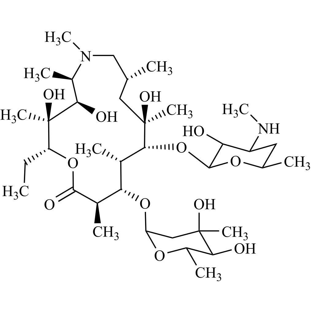
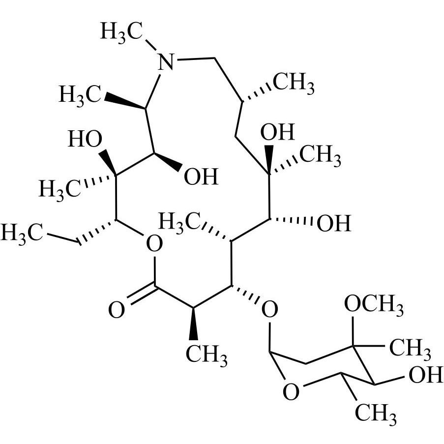
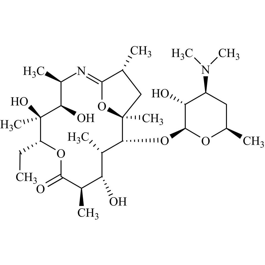
N-((2S,3R,4S,6R)-2-(((2R,3S,4R,5R,8R,10R,11R,12S,13S,14R)-2-ethyl-3,4,10-trihydroxy-13-(((2R,4R,5S,6S)-5-hydroxy-4-methoxy-4,6-dimethyltetrahydro-2H-pyran-2-yl)oxy)-3,5,6,8,10,12,14-heptamethyl-15-oxo-1-oxa-6-azacyclopentadecan-11-yl)oxy)-3-hydroxy-6-methyltetrahydro-2H-pyran-4-yl)-N-methylformamide; 3’-N-Desmethyl-3’-N-formyl Azithromycin; (2R,3S,4R,5R,8R,10R,11R,12S,13S,14R)-13-[(2,6-Dideoxy-3-C-methyl-3-O-methyl-?-ribo-hexopyranosyl)oxy]-2-ethyl-3,4,10-trihydroxy-3,5,6,8,10,12,14-heptamethyl-11-[[3,4,6-trideoxy-3-(formylmethylamino)-?-D-xylo-hexopyranosyl]oxy]-1-oxa-6-azacyclopentadecan-15-one; USP Azithromycin Related Compound F; Azithromycin Impurity F
Azithromycin EP Impurity F is a fully characterized chemical compound used as a reference standard of API Azithromycin. The standard offered is compliant with regulatory guidelines. Azithromycin EP Impurity F is used for analytical method development, method validation (AMV), and Quality Controlled (QC) applications during synthesis and formulation stages of drug development and serves as a reference standard for traceability against pharmacopeial standards (USP or EP). Axios Research products are intended for analytical purposes only and are not for human use. CAS - 612069-28-0
Related products
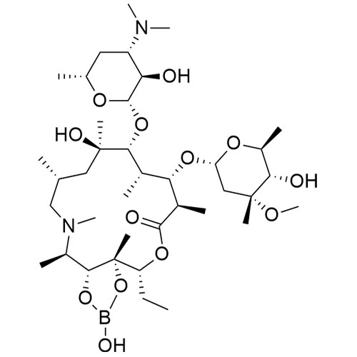
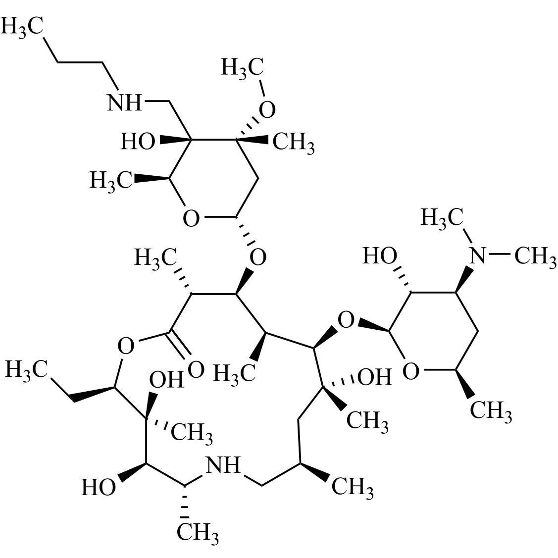
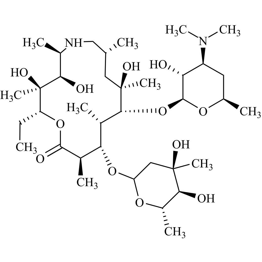
Azithromycin EP Impurity I (N-Desmethyl Azithromycin)
M.F.
M.W. 734.97
CAT# AR-A03185
CAS# 172617-84-4
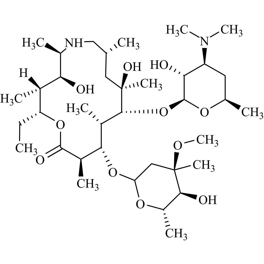
N-Nitroso Azithromycin EP Impurity A Acetate (N-Nitroso Azathramycin Acetate, N-Nitroso Desmethyl Azithromycin Acetate)
M.F.
M.W. 763.97 60.05
CAT# AR-A07971
CAS# NA