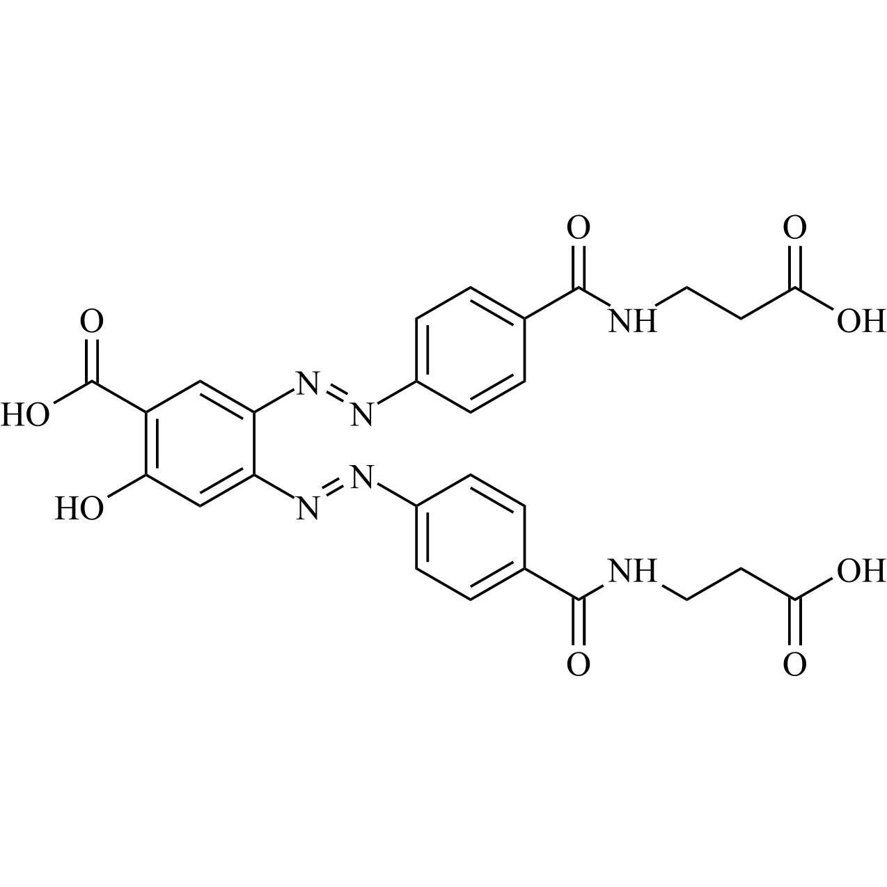
- Synonyms5-[(1E)-2-[4-[[(2-Carboxyethyl)amino]carbonyl]phenyl]diazenyl]-2-hydroxybenzoic Acid-D4; (E)-5-[[4-[[(2-Carboxyethyl)amino]carbonyl]phenyl]azo]-2-hydroxybenzoic Acid-D4; Balsalazida-D4; Balsalazido-D4; Balsalazidum-D4; Colazide
- Description
5-[(1E)-2-[4-[[(2-Carboxyethyl)amino]carbonyl]phenyl]diazenyl]-2-hydroxybenzoic Acid-D4; (E)-5-[[4-[[(2-Carboxyethyl)amino]carbonyl]phenyl]azo]-2-hydroxybenzoic Acid-D4; Balsalazida-D4; Balsalazido-D4; Balsalazidum-D4; Colazide
Balsalazide-d4 is a fully characterized chemical compound used as a reference standard of API Balsalazide. The standard offered is compliant with regulatory guidelines. Balsalazide-d4 is used for analytical method development, method validation (AMV), and Quality Controlled (QC) applications during synthesis and formulation stages of drug development and serves as a reference standard for traceability against pharmacopeial standards (USP or EP). Axios Research products are intended for analytical purposes only and are not for human use. CAS - 80573-04-2 (non-labelled)
Related products
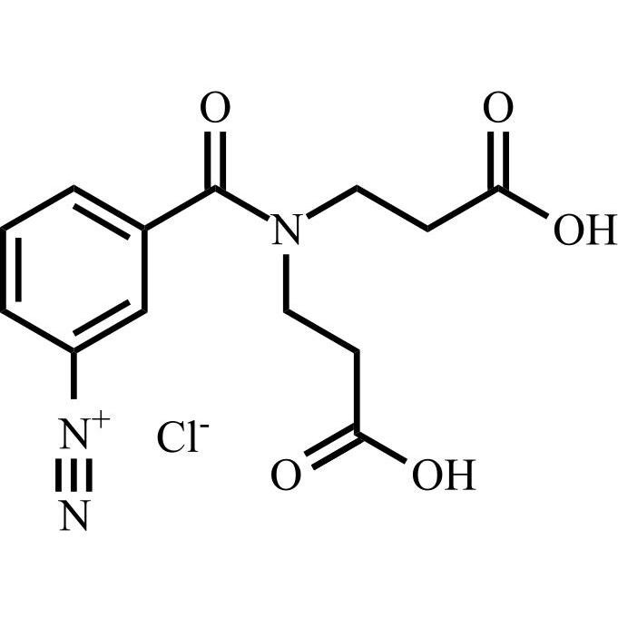
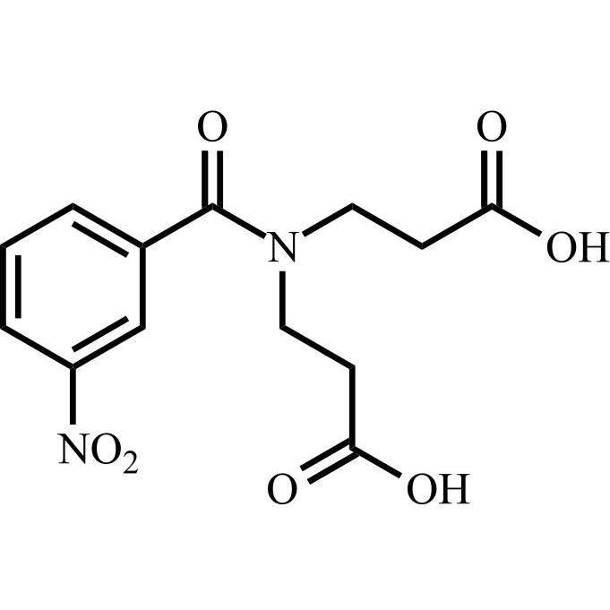
Balsalazide Related Compound A
M.F.
M.W. 285.24 2 22.99
CAT# AR-B01021
CAS# 1242567-07-2 (free acid)