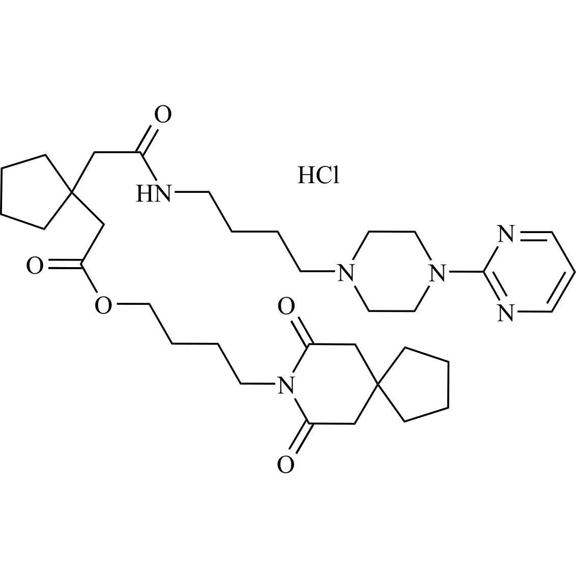
- Synonymsbis(4-(4-(pyrimidin-2-yl)piperazin-1-yl)butyl) 2,2'-(cyclopentane-1,1-diyl)diacetate; Buspirone Diester Dimer (USP)
- Description
bis(4-(4-(pyrimidin-2-yl)piperazin-1-yl)butyl) 2,2'-(cyclopentane-1,1-diyl)diacetate; Buspirone Diester Dimer (USP)
Buspirone EP Impurity H is a fully characterized chemical compound used as a reference standard of API Buspirone. The standard offered is compliant with regulatory guidelines. Buspirone EP Impurity H is used for analytical method development, method validation (AMV), and Quality Controlled (QC) applications during synthesis and formulation stages of drug development and serves as a reference standard for traceability against pharmacopeial standards (USP or EP). Axios Research products are intended for analytical purposes only and are not for human use. CAS - 2708578-34-9
Related products
Buspirone Impurity 1 (Lactone of 6-Hydroxy Buspirone)
M.F.
M.W. 401.51
CAT# AR-B02303
CAS# 125498-83-1
N-Nitroso Buspirone impurity ; 2-(4-Nitrosopiperazin-1-yl)pyrimidine
M.F.
M.W. 193.21
CAT# AR-B05684
CAS# 872826-80-7