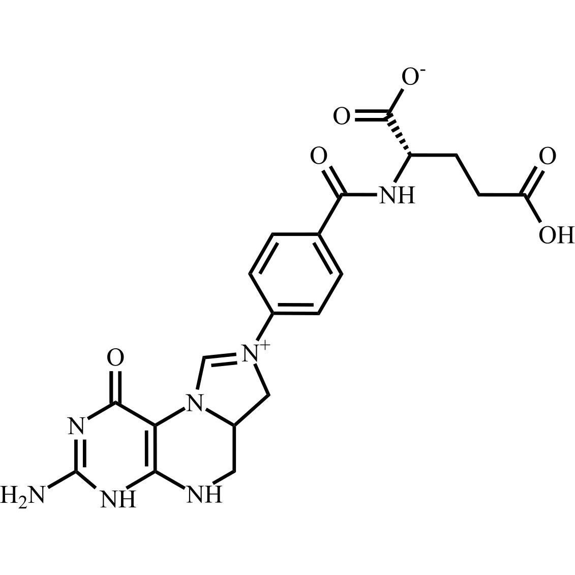
- Synonyms(S)-2-(4-((((R)-2-amino-5-formyl-4-oxo-3,4,5,6,7,8-hexahydropteridin-6-yl)methyl)amino)benzamido)pentanedioicacid
- Description
(S)-2-(4-((((R)-2-amino-5-formyl-4-oxo-3,4,5,6,7,8-hexahydropteridin-6-yl)methyl)amino)benzamido)pentanedioicacid
Calcium Levofolinate EP Impurity H is a fully characterized chemical compound used as a reference standard of API Folinic Acid. The standard offered is compliant with regulatory guidelines. Calcium Levofolinate EP Impurity H is used for analytical method development, method validation (AMV), and Quality Controlled (QC) applications during synthesis and formulation stages of drug development and serves as a reference standard for traceability against pharmacopeial standards (USP or EP). Axios Research products are intended for analytical purposes only and are not for human use. CAS -
Related products
Folinic Acid Calcium (Leucovorin Calcium, Calcium Levofolinate)
M.F.
M.W. 471.43 40.08
CAT# AR-F01952
CAS# 1492-18-8
Folinic Acid EP Impurity B (Mixture of Diastereomers)
M.F.
M.W. 501.46
CAT# AR-F01954
CAS# 98814-60-9
L-(+)-Methylenetetrahydrofolic acid Calcium Salt
M.F.
M.W. 455.43; 40.08
CAT# AR-F09482
CAS# 1148151-21-6
Folinic Acid EP Impurity G Disodium Salt (7,8-Dihydrofolic Acid Disodium Salt)
M.F.
M.W. 441.42 2*22.99
CAT# AR-F10735
CAS# 1809246-78-3
N1-Nitroso Folinic Acid (N1-Nitroso Folic Acid USP Related Compound A, N1-Nitroso Leucovorin)
M.F.
M.W. 502.44
CAT# AR-F10737
CAS# 77314-00-2