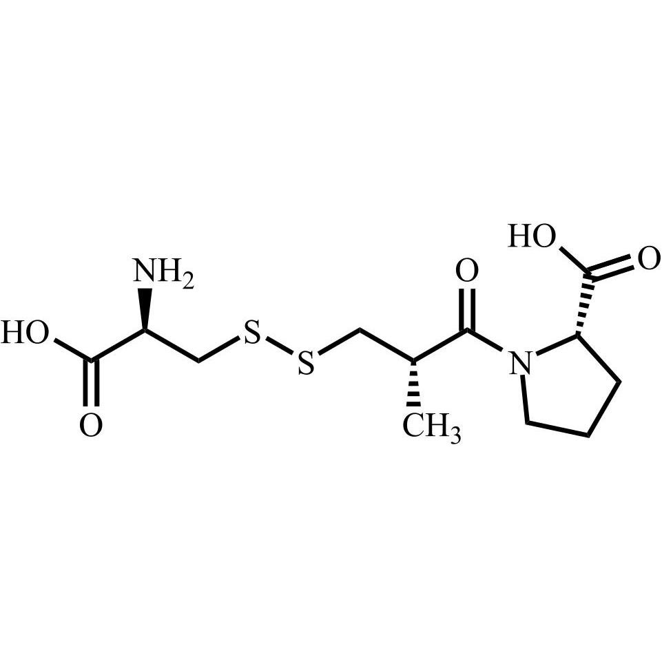
- Synonyms(2S,2'S)-3,3'-disulfanediylbis(2-methylpropanoic acid); 3,?3'-?Disulfanediylbis[(2S?)?-?2-?methylpropanoic] Acid
- Description
(2S,2'S)-3,3'-disulfanediylbis(2-methylpropanoic acid); 3,?3'-?Disulfanediylbis[(2S?)?-?2-?methylpropanoic] Acid
Captopril EP Impurity N is a fully characterized chemical compound used as a reference standard of API Captopril. The standard offered is compliant with regulatory guidelines. Captopril EP Impurity N is used for analytical method development, method validation (AMV), and Quality Controlled (QC) applications during synthesis and formulation stages of drug development and serves as a reference standard for traceability against pharmacopeial standards (USP or EP). Axios Research products are intended for analytical purposes only and are not for human use. CAS - 65134-74-9