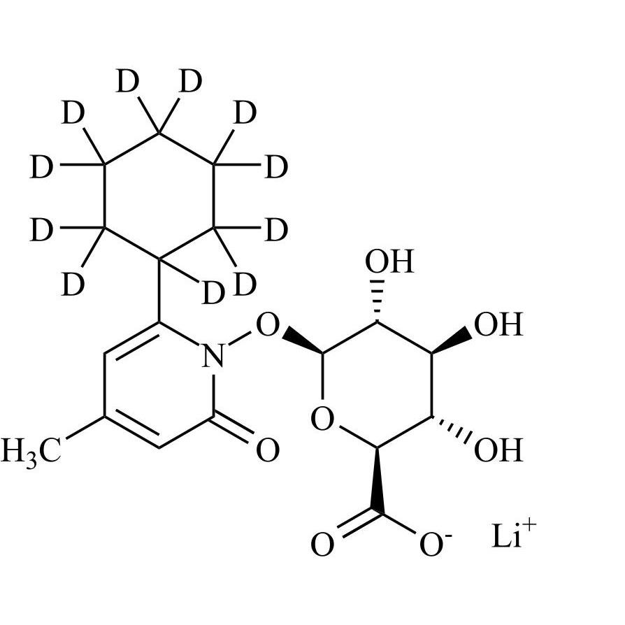
1-[(6-Cyclohexyl-d11-4-methyl-2-oxo-1(2H)-pyridinyl)oxy]-1-deoxy-?-D-glucopyranuronic Acid
Ciclopirox-d11 Glucuronide is a fully characterized chemical compound used as a reference standard of API Ciclopirox. The standard offered is compliant with regulatory guidelines. Ciclopirox-d11 Glucuronide is used for analytical method development, method validation (AMV), and Quality Controlled (QC) applications during synthesis and formulation stages of drug development and serves as a reference standard for traceability against pharmacopeial standards (USP or EP). Axios Research products are intended for analytical purposes only and are not for human use. CAS - 1279033-13-4