- SynonymsMethyl 7-Chloro-6,7,8-trideoxy-6-[[[(2S,4R)-1-methyl-13C,D3-4-propyl-2-pyrrolidinyl]carbonyl]amino]-1-thio-L-threo-?-D-galacto-octopyranoside; trans-?-Methyl 7-Chloro-6,7,8-trideoxy-6-(1-methyl-13C,D3-4-propyl-L-2-pyrrolidinecarboxamido)-1-thio-L-threo-D-galacto-octopyranoside; (2S-trans)-Methyl...
- Description
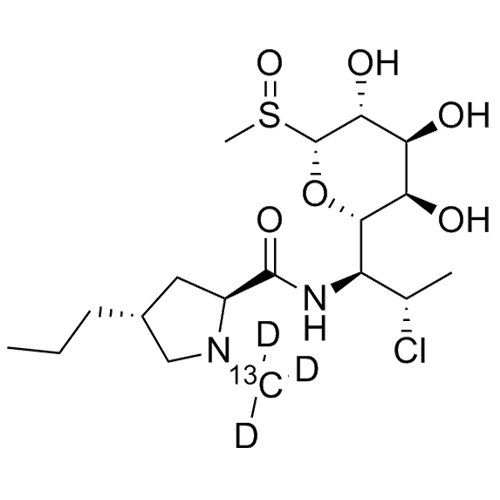
Methyl 7-Chloro-6,7,8-trideoxy-6-[[[(2S,4R)-1-methyl-13C,D3-4-propyl-2-pyrrolidinyl]carbonyl]amino]-1-thio-L-threo-?-D-galacto-octopyranoside; trans-?-Methyl 7-Chloro-6,7,8-trideoxy-6-(1-methyl-13C,D3-4-propyl-L-2-pyrrolidinecarboxamido)-1-thio-L-threo-D-galacto-octopyranoside; (2S-trans)-Methyl 7-Chloro-6,7,8-trideoxy-6-[[(1-methyl-13C,D3-4-propyl-2-pyrrolidinyl)carbonyl]amino]-1-thio-L-threo-?-D-galacto-octopyranoside; 7(S)-Chloro-7-deoxylincomycin-13C,D3; 7-CDL-13C,D3; 7-Chloro-7-deoxylincomycin-13C,D3; 7-Chlorolincomycin-13C,D3; 7-Deoxy-7(S)-chlorolincomycin-13C,D3; Antirobe-13C,D3; Chlolincocin-13C,D3; Cleocin-13C,D3; Clincin-13C,D3; ClindaDerm-13C,D3; Clindam-13C,D3; Clindamycin-13C,D3; Clinimycin-13C,D3; Dalacin C-13C,D3; Dalacin V-13C,D3; Dalacine-13C,D3; Klimicin-13C,D3; Klindan 3
Clindamycin-13C-d3 is a fully characterized chemical compound used as a reference standard of API Clindamycin. The standard offered is compliant with regulatory guidelines. Clindamycin-13C-d3 is used for analytical method development, method validation (AMV), and Quality Controlled (QC) applications during synthesis and formulation stages of drug development and serves as a reference standard for traceability against pharmacopeial standards (USP or EP). Axios Research products are intended for analytical purposes only and are not for human use. CAS - 2140264-63-5
Related products
Clindamycin Palmitate Sulfoxide HCl
M.F.
M.W. 679.41 36.46
CAT# AR-C03127
CAS# 1123211-65-3 (free base)
Clindamycin EP Impurity E (mixture of E/Z isomers)
M.F.
M.W. 422.98
CAT# AR-C05399
CAS# 1440605-51-5
Clindamycin Phosphate EP Impurity H (Clindamycin 2,3-Bisphosphate)
M.F.
M.W. 584.94
CAT# AR-C05205
CAS# NA
Clindamycin Impurity C (7-Epi Clindamycin) hydrochloride
M.F.
M.W. 424.99 36.46
CAT# AR-C03118
CAS# 17431-55-9
Clindamycin Impurity 61 HCl (Mixture of Z and E Isomers)
M.F.
M.W. 661.39 36.46
CAT# AR-C07986
CAS# NA
Clindamycin Palmitate Sulfoxide HCl (Mixture of Diastereomers)
M.F.
M.W. 679.40 36.46
CAT# AR-C07989
CAS# NA
Clindamycin Phosphate EP Impurity J HCl (Mixture of Z and E Isomers)
M.F.
M.W. 502.94 36.46
CAT# AR-C07999
CAS# NA
Clindamycin Hydrochloride EP Impurity E HCl (Mixture of Z and E Isomers)
M.F.
M.W. 422.98 36.46
CAT# AR-C08003
CAS# NA