- Synonyms3,6-bis((aminooxy)methyl)piperazine-2,5-dione; 3,6-Bis[(aminooxy)methyl]-2,5-piperazinedione; 2,5-Bis(aminohydroxymethyl)-2,6-diketopiperazine; 2,5-Bis(aminooxymethyl)-3,6-dioxopiperazine; Cycloserine Diketopiperazine; NSC 119130
- Description
3,6-bis((aminooxy)methyl)piperazine-2,5-dione; 3,6-Bis[(aminooxy)methyl]-2,5-piperazinedione; 2,5-Bis(aminohydroxymethyl)-2,6-diketopiperazine; 2,5-Bis(aminooxymethyl)-3,6-dioxopiperazine; Cycloserine Diketopiperazine; NSC 119130
Cycloserine Diketopiperazine (Mixture of Isomers) is a fully characterized chemical compound used as a reference standard of API Cycloserine. The standard offered is compliant with regulatory guidelines. Cycloserine Diketopiperazine (Mixture of Isomers) is used for analytical method development, method validation (AMV), and Quality Controlled (QC) applications during synthesis and formulation stages of drug development and serves as a reference standard for traceability against pharmacopeial standards (USP or EP). Axios Research products are intended for analytical purposes only and are not for human use. CAS - 1204-99-5
Related products
Cycloserine Dimer Impurity (Cycloserine Diketoperazine)

M.F.
M.W. 204.19
CAT# AR-C03829
CAS# 16337-02-3
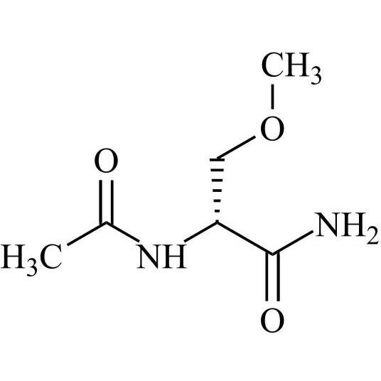
3-Chloro-D-alanine Methyl Ester Hydrochloride

M.F.
M.W. 137.57 36.46
CAT# AR-C03832
CAS# 112346-82-4
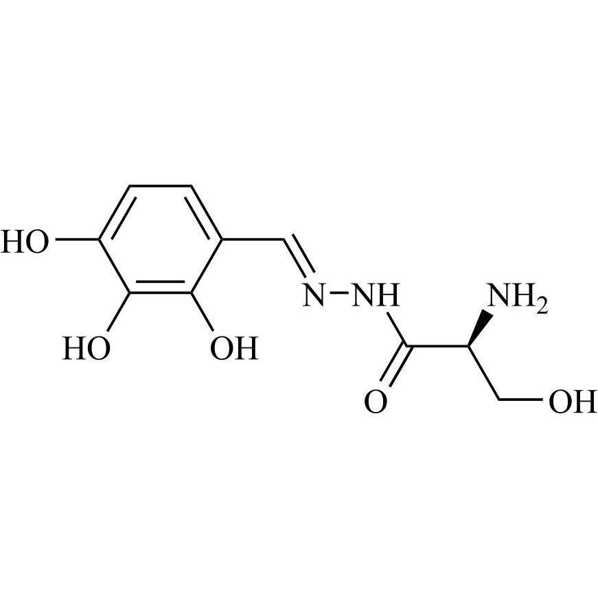
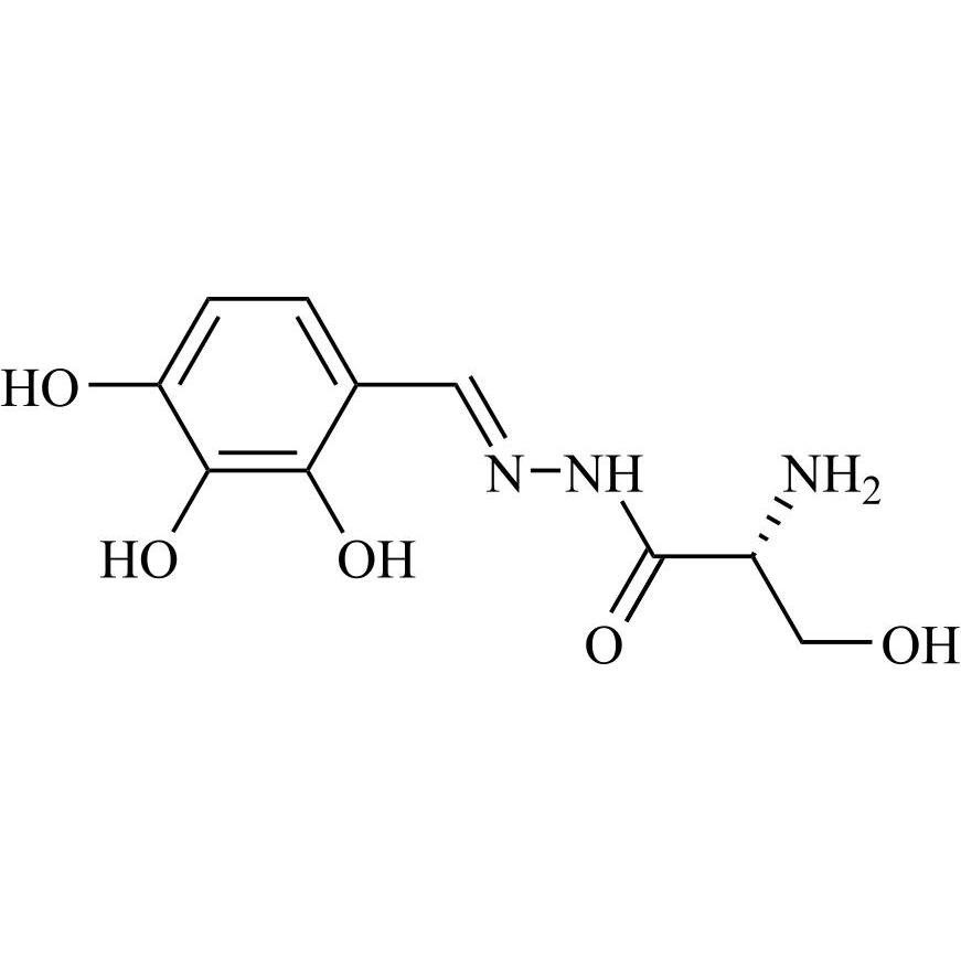
L-Serine 2-[(2,3,4-trihydroxyphenyl)methylene] Hydrazide
![Show details for L-Serine 2-[(2,3,4-trihydroxyphenyl)methylene] Hydrazide Picture of L-Serine 2-[(2,3,4-trihydroxyphenyl)methylene] Hydrazide](https://bc3c83a0874864a50753-7010fd7f2bdf81ab41ee28479491701e.ssl.cf2.rackcdn.com/media//catalog/AR-C08694.jpg?size=256)
M.F.
M.W. 255.23
CAT# AR-C08694
CAS# 1086824-06-7