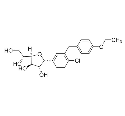
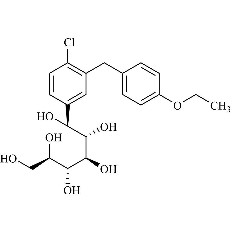
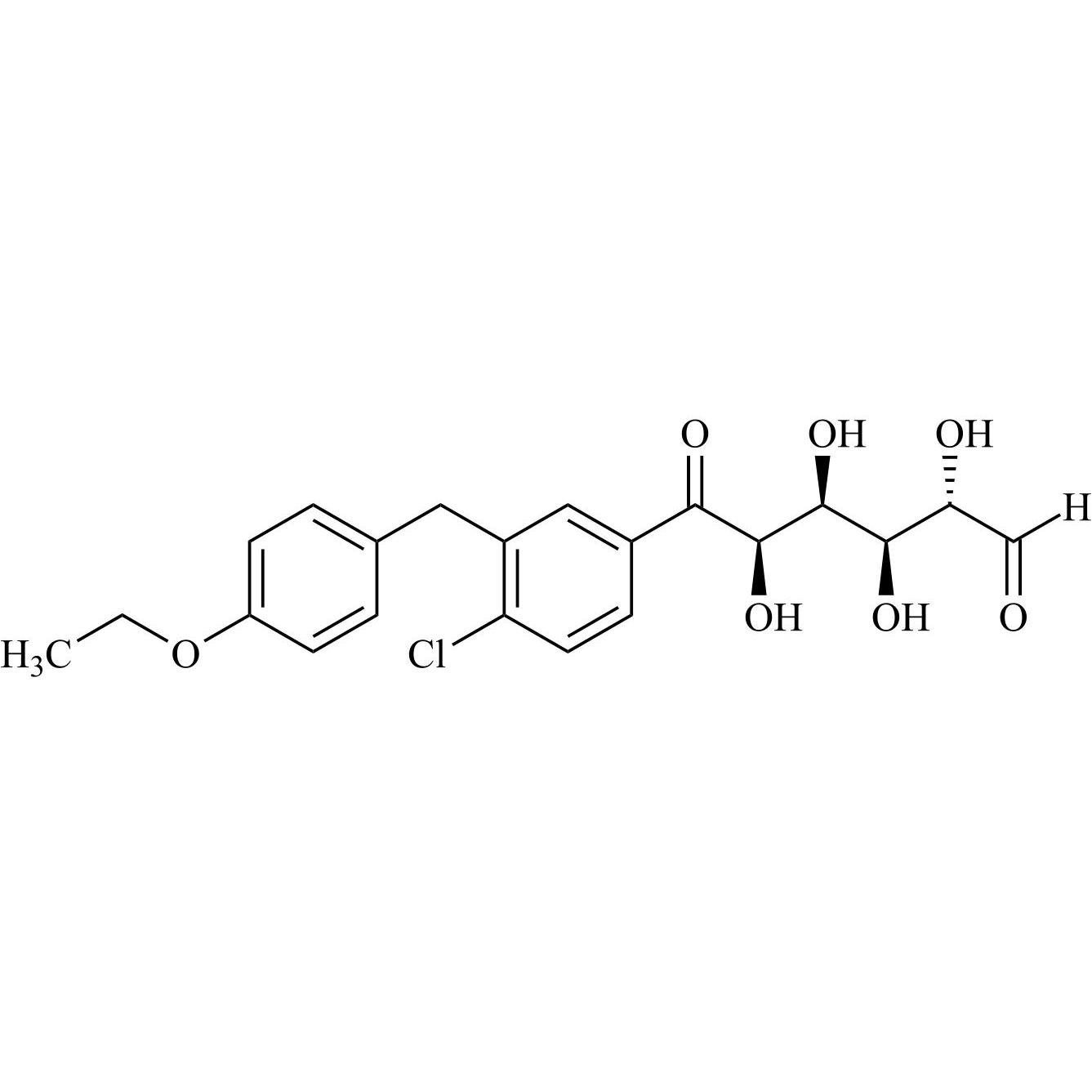
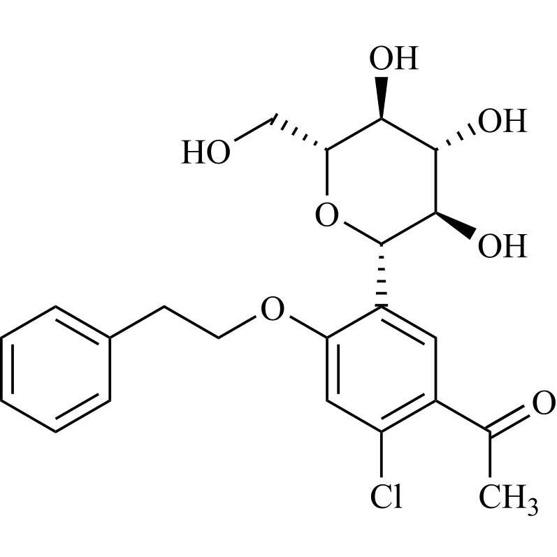
- Synonyms(2S,3R,4R,5R)-2-(4-chloro-3-(4-ethoxybenzyl)phenyl)-5-((R)-1,2-dihydroxyethyl)tetrahydrofuran-3,4-diol; 1R-Dapagliflozin 1,4-Ahydro Form; (1S)-1,4-anhydro-1-C-[4-chloro-3-[(4-ethoxyphenyl)methyl]phenyl]-D-Glucitol;
- Description
(2S,3R,4R,5R)-2-(4-chloro-3-(4-ethoxybenzyl)phenyl)-5-((R)-1,2-dihydroxyethyl)tetrahydrofuran-3,4-diol; 1R-Dapagliflozin 1,4-Ahydro Form; (1S)-1,4-anhydro-1-C-[4-chloro-3-[(4-ethoxyphenyl)methyl]phenyl]-D-Glucitol;
Dapagliflozin alpha furanose is a fully characterized chemical compound used as a reference standard of API Dapagliflozin. The standard offered is compliant with regulatory guidelines. Dapagliflozin alpha furanose is used for analytical method development, method validation (AMV), and Quality Controlled (QC) applications during synthesis and formulation stages of drug development and serves as a reference standard for traceability against pharmacopeial standards (USP or EP). Axios Research products are intended for analytical purposes only and are not for human use. CAS - 1469910-70-0
Related products
Dapagliflozin L- Proline Co-Crystal (1:2)
M.F.
M.W. 408.9 : 2(115.1)
CAT# AR-D06015
CAS# 960404-62-0
Dapagliflozin oxolane-2,3,4-triol Impurity (mixture of diastereomers)
M.F.
M.W. 364.82
CAT# AR-D06114
CAS# NA
Dapagliflozin 2,3-Butanediol Mononohydrate
M.F.
M.W. 408.9 : 90.1 : 18.0
CAT# AR-D06046
CAS# 2040305-03-9