- Synonymsdecan-1-amine;Decanamine; Kemamine P 190D; Monodecylamine; NDA; n-Decylamine; 1-Aminodecane; 1-Decanamine;1-Decylamine
- Description
decan-1-amine;Decanamine; Kemamine P 190D; Monodecylamine; NDA; n-Decylamine; 1-Aminodecane; 1-Decanamine;1-Decylamine
Decylamine is a fully characterized chemical compound used as a reference standard of API Colesevelam. The standard offered is compliant with regulatory guidelines. Decylamine is used for analytical method development, method validation (AMV), and Quality Controlled (QC) applications during synthesis and formulation stages of drug development and serves as a reference standard for traceability against pharmacopeial standards (USP or EP). Axios Research products are intended for analytical purposes only and are not for human use. CAS - 2016-57-1
Related products
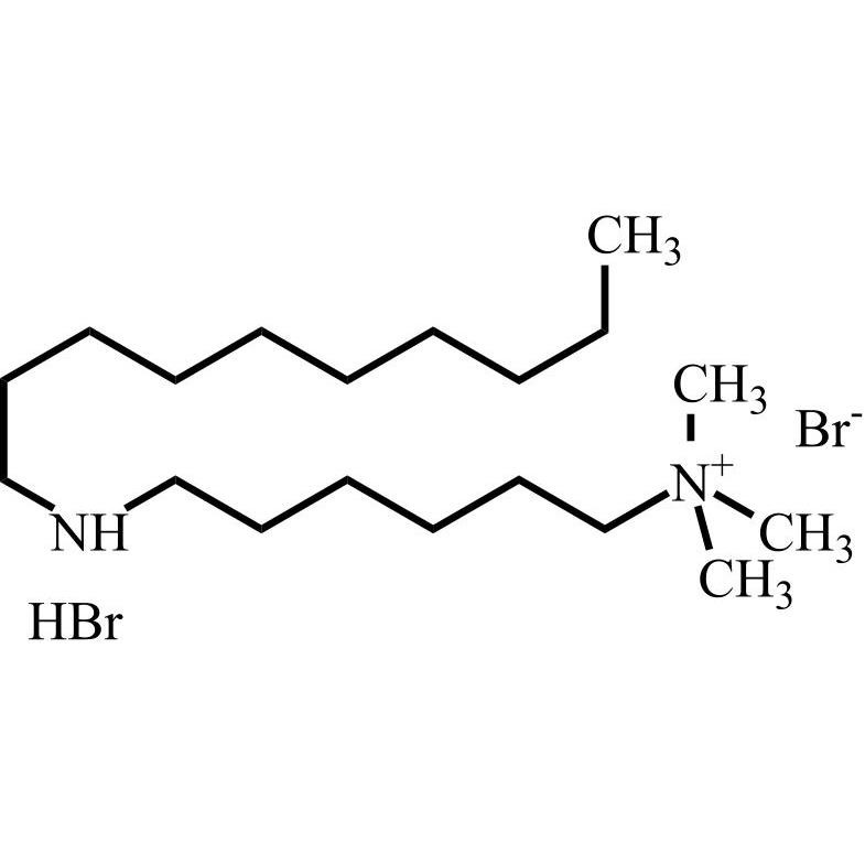
6-Decylaminohexyl Trimethylammonium Bromide HBr)

M.F.
M.W. 299.57 79.90 80.91
CAT# AR-C03466
CAS# NA
6-Aminohexyl Trimethylammonium Bromide HBr

M.F.
M.W. 159.30 79.90 80.91
CAT# AR-C03465
CAS# 33968-67-1
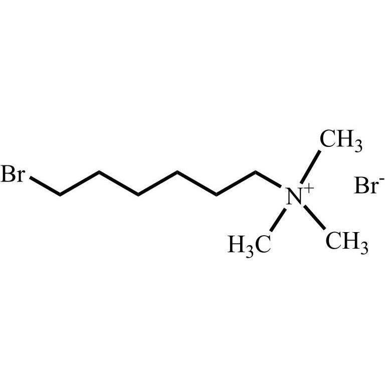
6-bromo-N,N,N-trimethylhexan-1-aminium bromide

M.F.
M.W. 223.18 79.90
CAT# AR-C03470
CAS# 32765-81-4
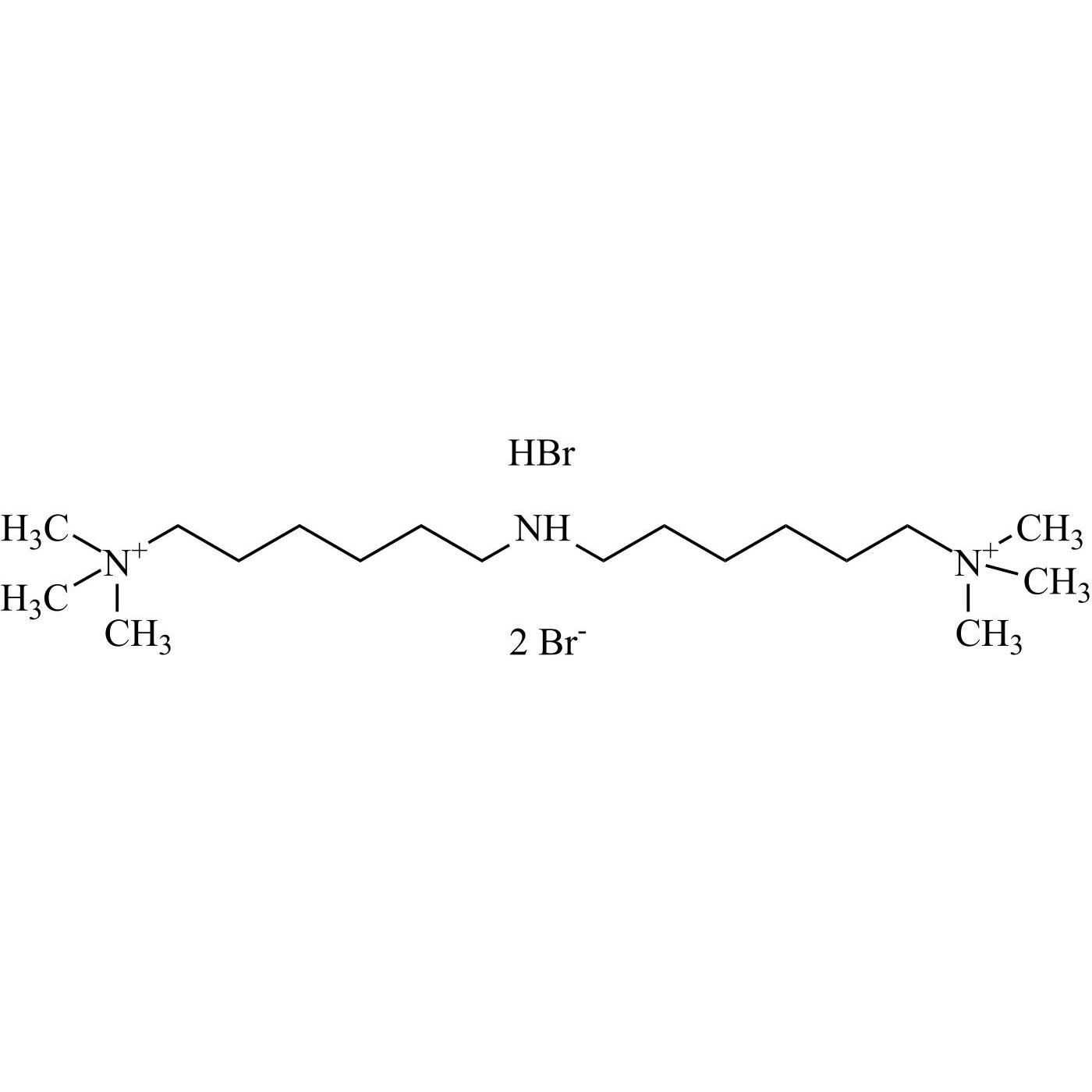
Colesevelam Impurity 2 Dibromide HBr

M.F.
M.W. 301.56 2*79.90 80.91
CAT# AR-C08252
CAS# 2170771-70-5
Colesevelam Decyl Aminoquat Bromide HBr (6-Decylaminohexyl Trimethylammonium Bromide HBr)

M.F.
M.W. 299.57 79.90 80.91
CAT# AR-C08251
CAS# 2247938-20-9