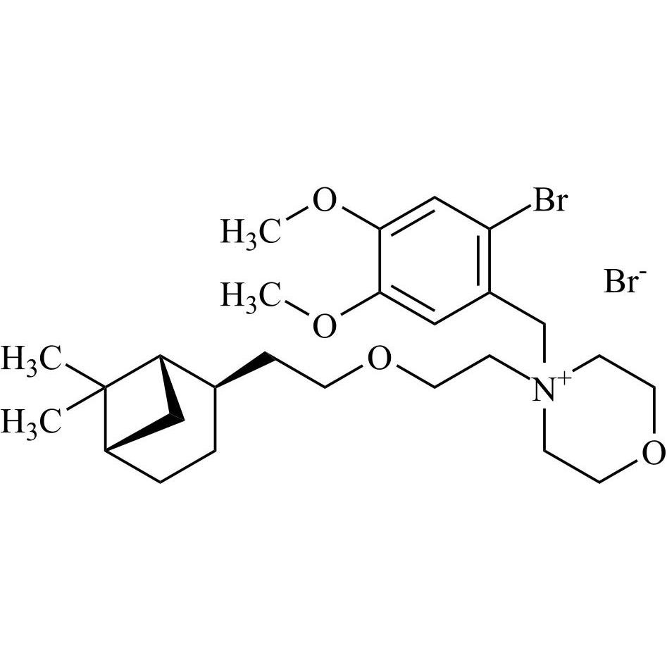
- Synonyms4-(2-bromo-4,5-dimethoxybenzyl)-4-(2-(2-(6,6-dimethylbicyclo[3.1.1]hept-2-en-2-yl)ethoxy)ethyl)morpholin-4-ium bromide;(1R,5S)-4-[(2-Bromo-4,5-dimethoxyphenyl)methyl]-4-[2-[2-(6,6-dimethylbicyclo[3.1.1]hept-2-en-2-yl)ethoxy]ethyl]morpholinium Bromide (1:1)
- Description
4-(2-bromo-4,5-dimethoxybenzyl)-4-(2-(2-(6,6-dimethylbicyclo[3.1.1]hept-2-en-2-yl)ethoxy)ethyl)morpholin-4-ium bromide;(1R,5S)-4-[(2-Bromo-4,5-dimethoxyphenyl)methyl]-4-[2-[2-(6,6-dimethylbicyclo[3.1.1]hept-2-en-2-yl)ethoxy]ethyl]morpholinium Bromide (1:1)
Dehydropinaverium Bromide is a fully characterized chemical compound used as a reference standard of API Pinaverium Bromide. The standard offered is compliant with regulatory guidelines. Dehydropinaverium Bromide is used for analytical method development, method validation (AMV), and Quality Controlled (QC) applications during synthesis and formulation stages of drug development and serves as a reference standard for traceability against pharmacopeial standards (USP or EP). Axios Research products are intended for analytical purposes only and are not for human use. CAS - 1235355-01-7
Related products
Pinaverium Bromide Impurity (2-Bromo-4,5-Dimethyl Benzyl Alcohol)

M.F.
M.W. 215.09
CAT# AR-P01961
CAS# NA
Pinaverium Bromide Desbenzyl Moeity Impurity

M.F.
M.W. 281.43
CAT# AR-P29905
CAS# 1190372-41-8 (relative conf.)
(1S,2S,5S)-4-[2-[2-(6,6-Dimethylbicyclo[3.1.1] hept-2-yl)ethoxy]ethyl]morpholine
![Show details for (1S,2S,5S)-4-[2-[2-(6,6-Dimethylbicyclo[3.1.1] hept-2-yl)ethoxy]ethyl]morpholine Picture of (1S,2S,5S)-4-[2-[2-(6,6-Dimethylbicyclo[3.1.1] hept-2-yl)ethoxy]ethyl]morpholine](https://bc3c83a0874864a50753-7010fd7f2bdf81ab41ee28479491701e.ssl.cf2.rackcdn.com/media//catalog/AR-P29392.jpg?size=256)
M.F.
M.W. 281.44
CAT# AR-P29392
CAS# 38284-47-8
Pinaverium Bromide Impurity 3 (Mixture of Diastereomers)

M.F.
M.W. 661.70 79.90
CAT# AR-P31692
CAS# NA