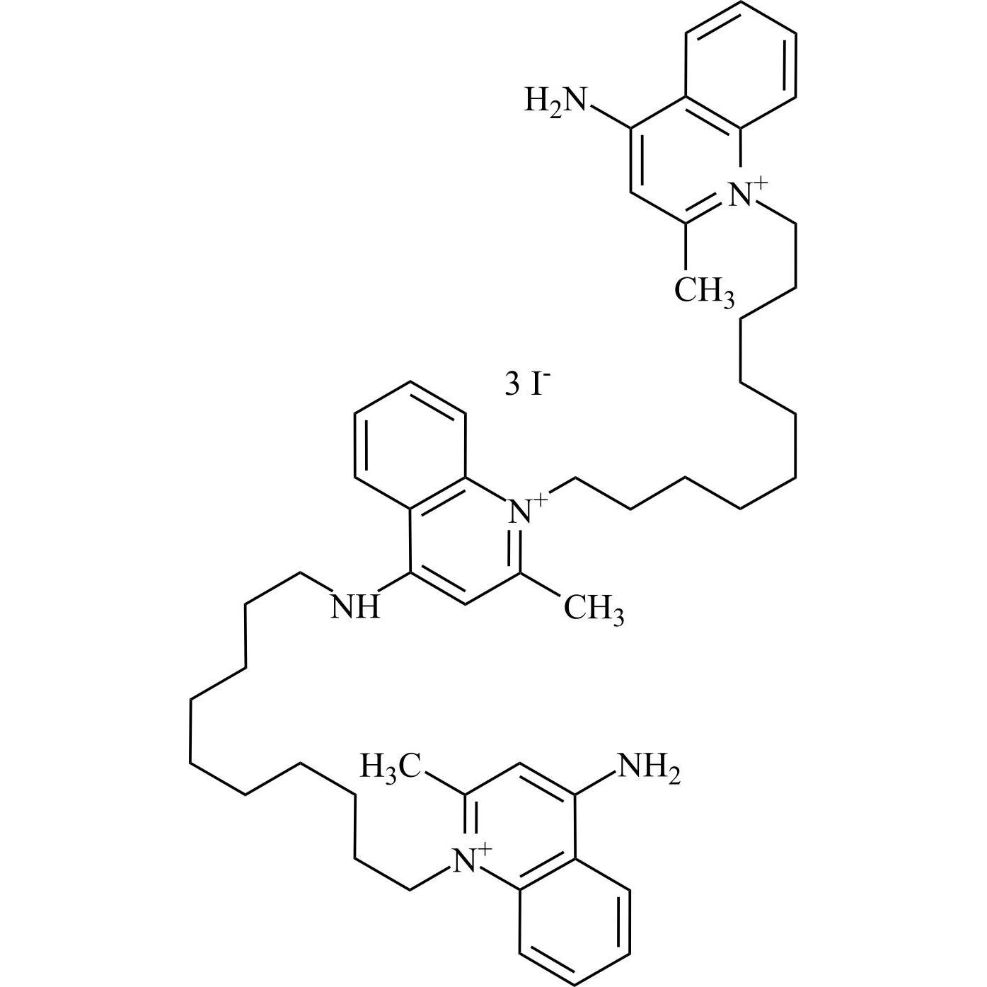
4-amino-2-methyl-1-(10-((2-methylquinolin-4-yl)amino)decyl)quinolin-1-ium iodide
Dequalinium Impurity B is a fully characterized chemical compound used as a reference standard of API Dequalinium. The standard offered is compliant with regulatory guidelines. Dequalinium Impurity B is used for analytical method development, method validation (AMV), and Quality Controlled (QC) applications during synthesis and formulation stages of drug development and serves as a reference standard for traceability against pharmacopeial standards (USP or EP). Axios Research products are intended for analytical purposes only and are not for human use. CAS -