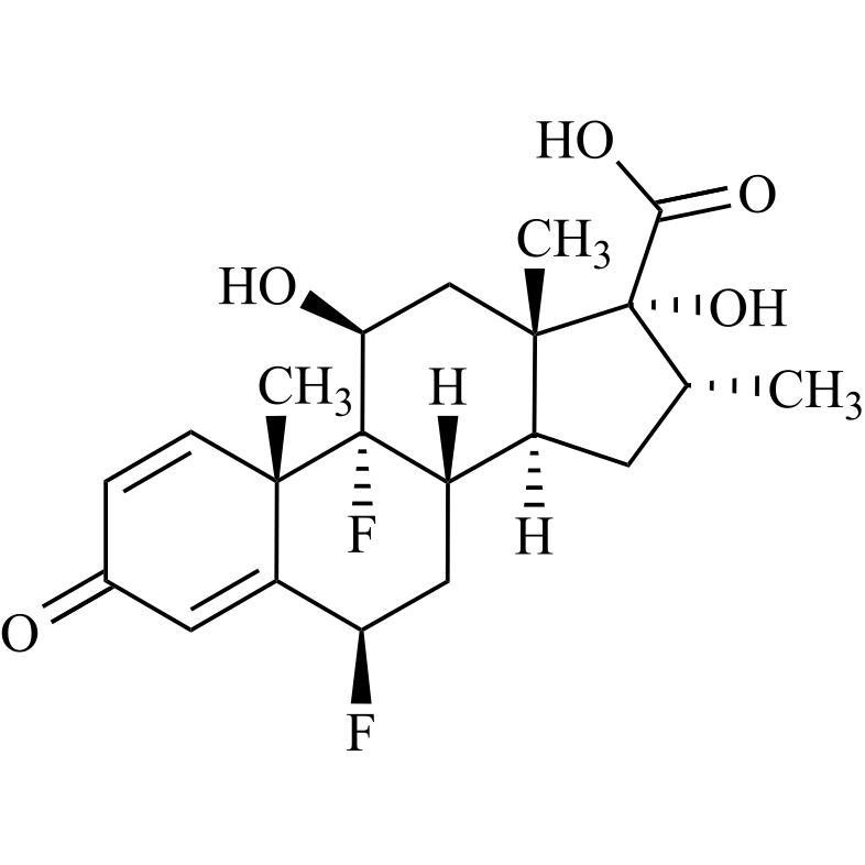
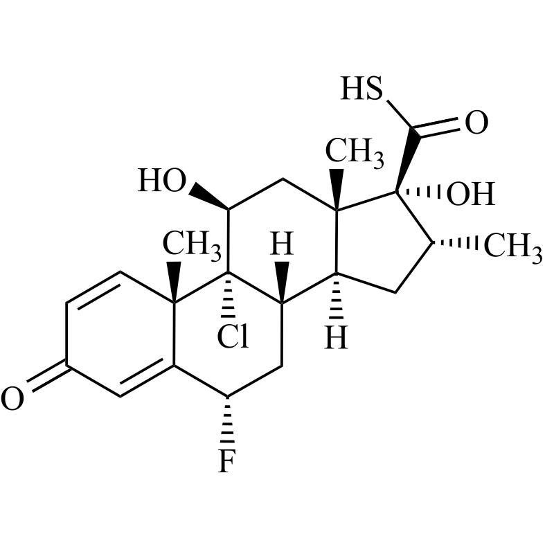
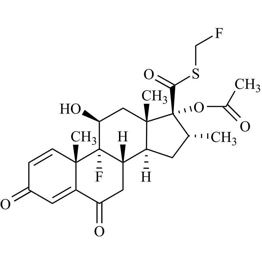
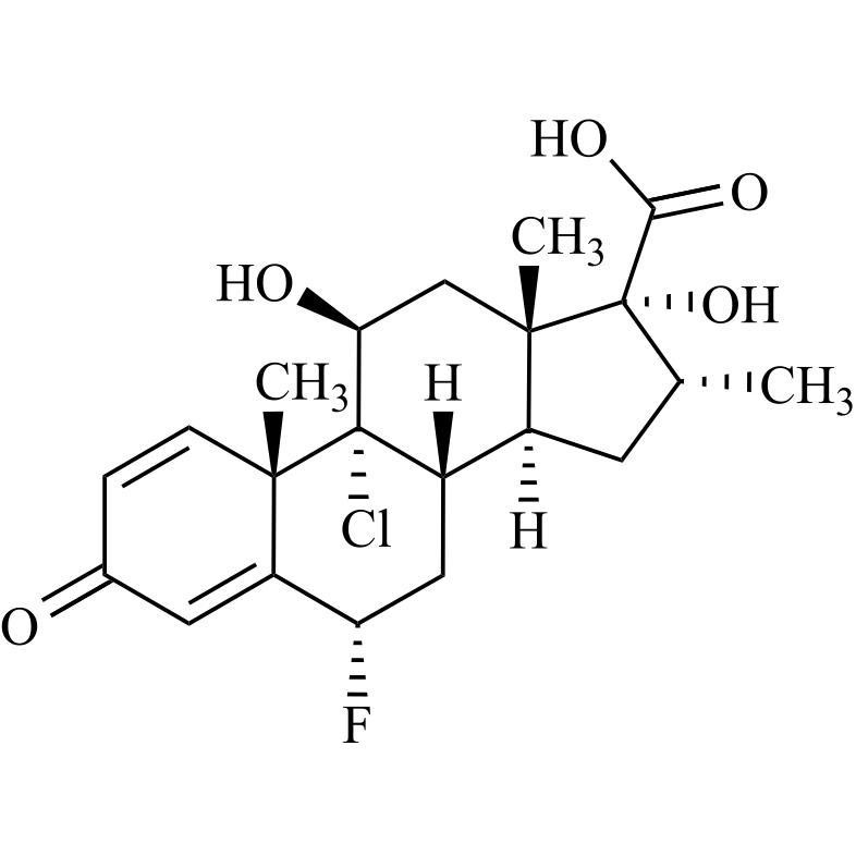
- Synonyms6,9-difluoro-17-[(2- furanylcarbonyl) oxy]-11-hydroxy-16-methyl-3-oxo-, S-methyl ester, (6α, 11β, 16α, 17α)-androsta-1,4-diene-17-carbothioic acid
- Description
6,9-difluoro-17-[(2- furanylcarbonyl) oxy]-11-hydroxy-16-methyl-3-oxo-, S-methyl ester, (6α, 11β, 16α, 17α)-androsta-1,4-diene-17-carbothioic acid
Des-Fluoromethyl S-Methyl Fluticasone Furoate is a fully characterized chemical compound used as a reference standard of API Fluticasone. The standard offered is compliant with regulatory guidelines. Des-Fluoromethyl S-Methyl Fluticasone Furoate is used for analytical method development, method validation (AMV), and Quality Controlled (QC) applications during synthesis and formulation stages of drug development and serves as a reference standard for traceability against pharmacopeial standards (USP or EP). Axios Research products are intended for analytical purposes only and are not for human use. CAS - 397864-58-3
Related products
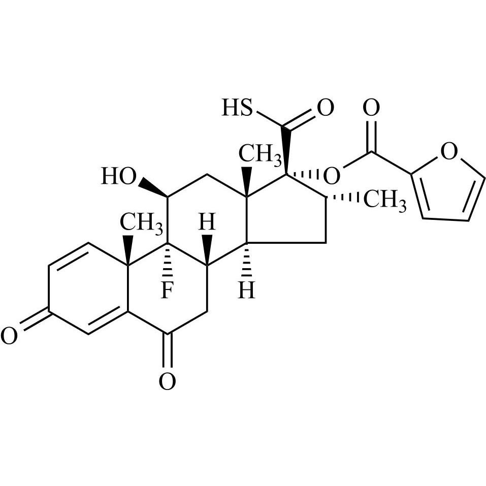
Fluticasone 17-carboxylic furan-2-carboxylic thioanhydride
M.F.
M.W. 600.63
CAT# AR-F09480
CAS# 397864-41-4
Fluticasone Propionate EP Impurity G (Fluticasone Dimer Impurity)
M.F.
M.W. 822.93
CAT# AR-F01863
CAS# 220589-37-7