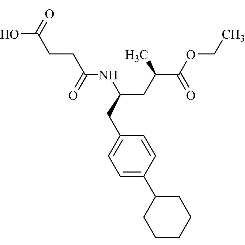
(2R,4S)-5-(Biphenyl-4-yl)-4-[(3-carboxypropionyl)amino]-2-methylpentanoic Acid
Desethyl Sacubitril is a fully characterized chemical compound used as a reference standard of API Sacubitril. The standard offered is compliant with regulatory guidelines. Desethyl Sacubitril is used for analytical method development, method validation (AMV), and Quality Controlled (QC) applications during synthesis and formulation stages of drug development and serves as a reference standard for traceability against pharmacopeial standards (USP or EP). Axios Research products are intended for analytical purposes only and are not for human use. CAS - 149709-44-4
Related products
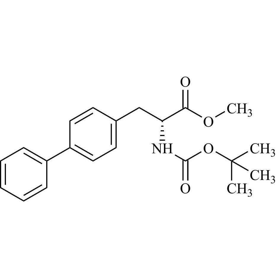
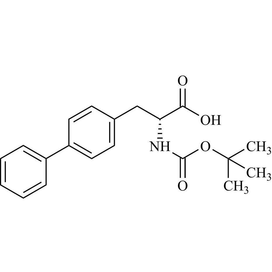
(2R,4S)-5-(Biphenyl-4-yl)-4-[(tert-butoxycarbonyl)amino]-2-methylpentanoic Acid
![Show details for (2R,4S)-5-(Biphenyl-4-yl)-4-[(tert-butoxycarbonyl)amino]-2-methylpentanoic Acid Picture of (2R,4S)-5-(Biphenyl-4-yl)-4-[(tert-butoxycarbonyl)amino]-2-methylpentanoic Acid](https://bc3c83a0874864a50753-7010fd7f2bdf81ab41ee28479491701e.ssl.cf2.rackcdn.com/media//catalog/AR-S09352.jpg?size=256)
M.F.
M.W. 383.49
CAT# AR-S09352
CAS# 1012341-50-2
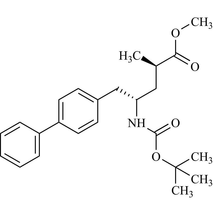
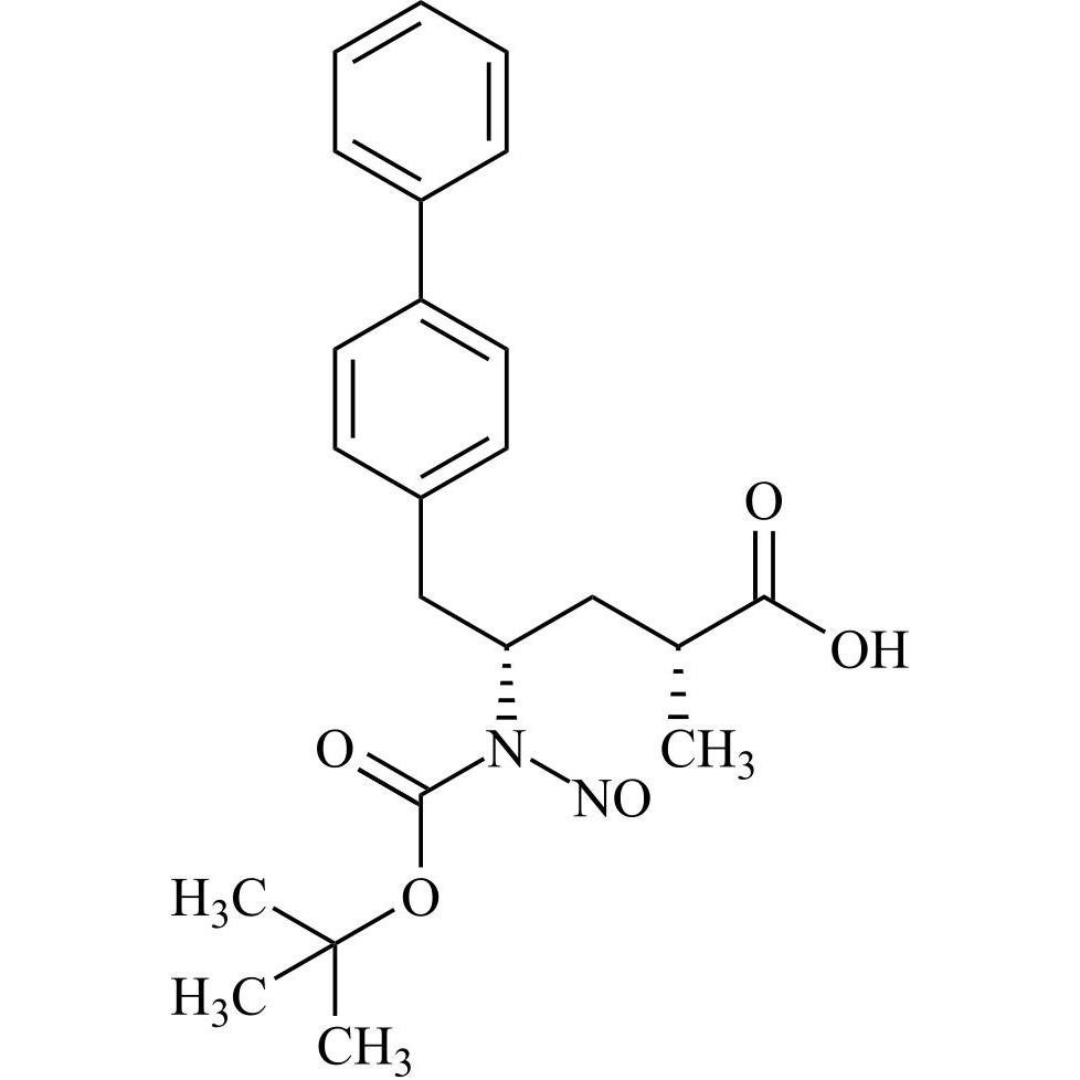
Sacubitril-(2R,4R)-Isomer (Racemic)

M.F.
M.W. 411.5
CAT# AR-S01006
CAS# 766480-48-2 Relative Stereochemistry
Sacubitril-Valsartan Trisodium Salt

M.F.
M.W. 410.49 433.51 3*22.99
CAT# AR-S09775
CAS# 1898188-76-5