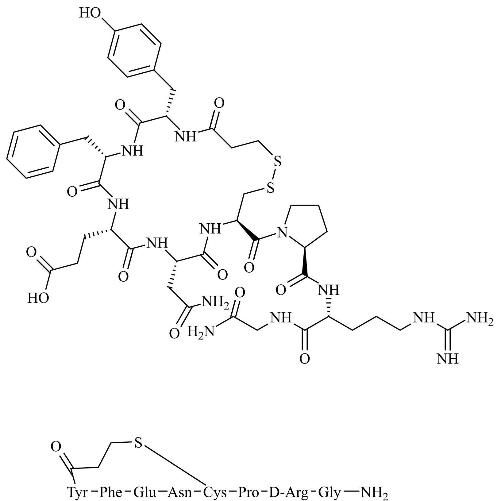
Desmopressin-d5 is a fully characterized chemical compound used as a reference standard of API Desmopressin. The standard offered is compliant with regulatory guidelines. Desmopressin-d5 is used for analytical method development, method validation (AMV), and Quality Controlled (QC) applications during synthesis and formulation stages of drug development and serves as a reference standard for traceability against pharmacopeial standards (USP or EP). Axios Research products are intended for analytical purposes only and are not for human use. CAS - N/A
Related products
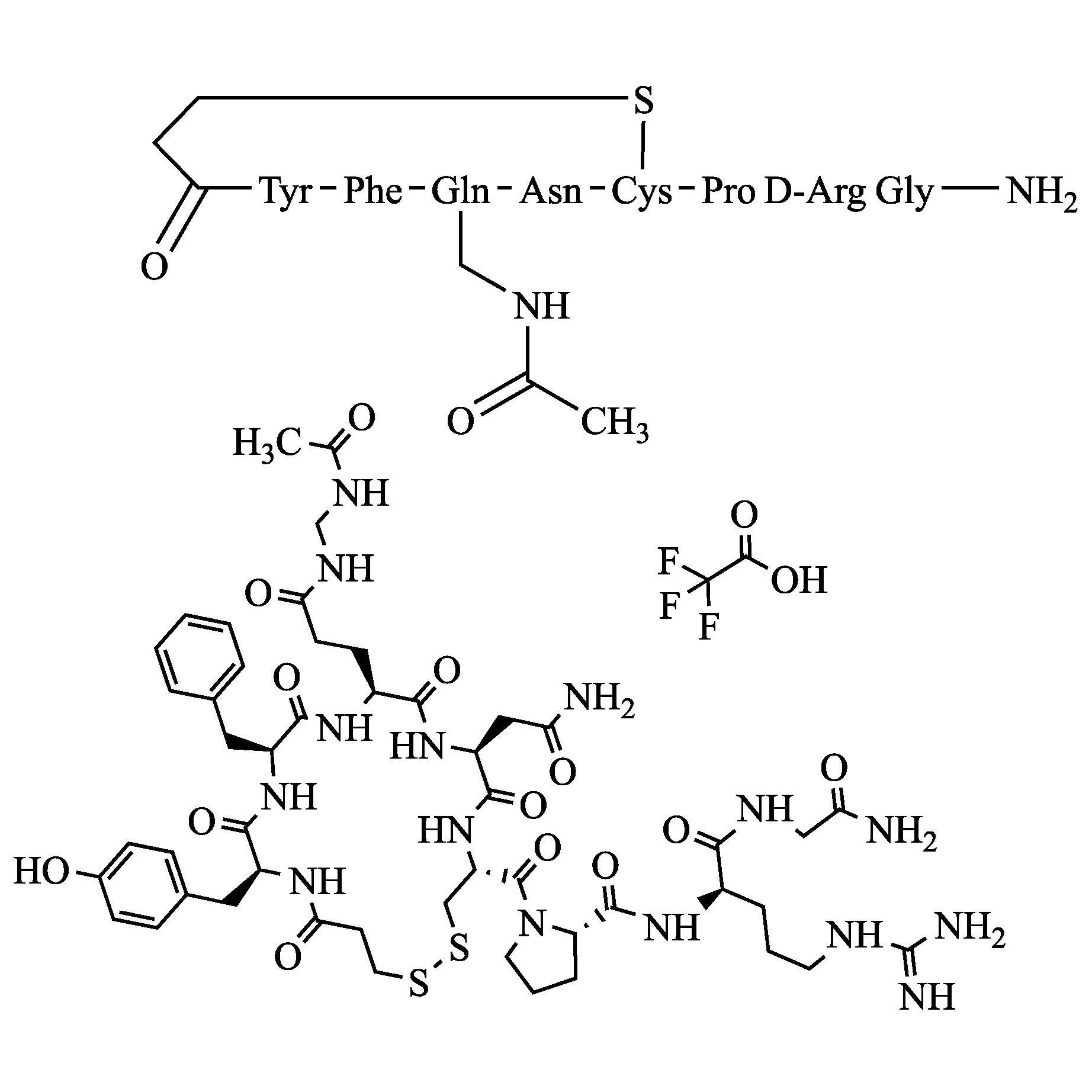
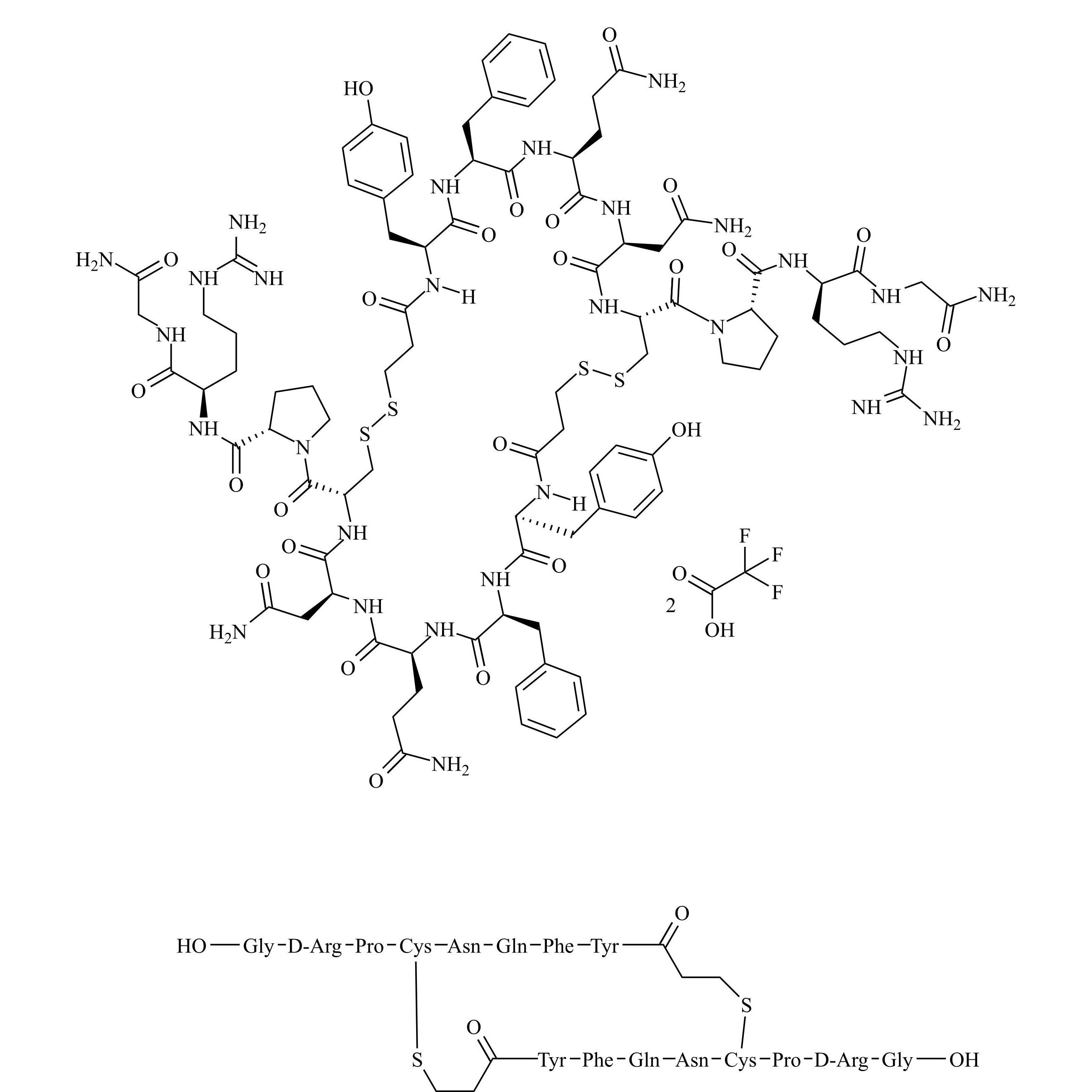
Desmopressin EP Impurity D Trifluoroacetate (8-L-Arginine Trifluoroacetate)
M.F.
M.W. 1069.24 114.02
CAT# AR-D06807
CAS# 126828-96-4