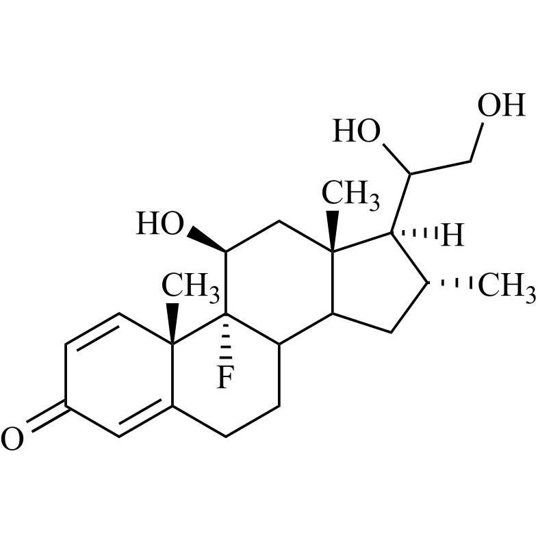
- Synonyms2-oxo-2-((4aS,4bS,5aS,6aS,7S,8R,9aS,9bS)-4a,6a,8-trimethyl-2-oxo-2,4a,5a,6,6a,7,8,9,9a,9b,10,11-dodecahydrocyclopenta[1,2]phenanthro[4,4a-b]oxiren-7-yl)ethyl acetate;(9?,11?,16?)-21-(Acetyloxy)-9,11-epoxy-16-methyl-pregna-1,4-diene-3,20-dione; 9,11?-Epoxy-21-hydroxy-16?-methyl-9?-pregna-1,4-diene...
- Description
2-oxo-2-((4aS,4bS,5aS,6aS,7S,8R,9aS,9bS)-4a,6a,8-trimethyl-2-oxo-2,4a,5a,6,6a,7,8,9,9a,9b,10,11-dodecahydrocyclopenta[1,2]phenanthro[4,4a-b]oxiren-7-yl)ethyl acetate;(9?,11?,16?)-21-(Acetyloxy)-9,11-epoxy-16-methyl-pregna-1,4-diene-3,20-dione; 9,11?-Epoxy-21-hydroxy-16?-methyl-9?-pregna-1,4-diene-3,20-dione Acetate; 9,11-Epoxy-9H-cyclopenta[a]phenanthrene, pregna-1,4-diene-3,20-dione deriv.;11,21-Didehydro-(9?,11?)-epoxy-21-(acetyloxy) Desoxymetasone
Desoximetasone Impurity H is a fully characterized chemical compound used as a reference standard of API Desoximetasone. The standard offered is compliant with regulatory guidelines. Desoximetasone Impurity H is used for analytical method development, method validation (AMV), and Quality Controlled (QC) applications during synthesis and formulation stages of drug development and serves as a reference standard for traceability against pharmacopeial standards (USP or EP). Axios Research products are intended for analytical purposes only and are not for human use. CAS - 52092-65-6
Related products
Desoximetasone Impurity 17 (Dexamethasone Sodium Metasulphobenzoate)
M.F.
M.W. 575.62 22.99
CAT# AR-D06823
CAS# 3936-02-5
Desoximetasone Impurity 16 (Dexamethasone Isonicotinate)
M.F.
M.W. 497.56
CAT# AR-D06822
CAS# 2265-64-7